基于Python的网络安全科普学习系统的设计与实现 计算机毕业设计源码03757
(1)普通用户角色:① 注册登录:提供用户注册和登录功能,确保用户可以创建账户和正常访问系统,以便使用系统全部功能,进行相应操作。② 首页:展示网站的主要内容、信息概览和功能入口,让用户快速了网站的最新动态。③ 在线论坛:提供在线论坛功能,用户可以在在线论坛自己的经验、问题,同时浏览和评论其他用户的分享,并进行收藏。④ 在线测评:提供在线测评功能,用户可以搜索和选择试题完成答题进行自我评估,完成测
随着互联网的快速发展,网络安全问题日益突出,成为各行各业关注的焦点。然而,公众对于网络安全知识的了解和掌握程度普遍较低,导致面对网络威胁时缺乏必要的防范意识和技能。为了提升社会大众的网络安全意识和技术水平,设计并实现一套高效便捷的网络安全科普学习系统显得尤为重要。本研究经过深入调研分析网络安全科普的现状和用户需求,采用面向对象的开发方法,应用Django作为后端框架实现后端业务逻辑,配合MySQL数据库实现数据的高效管理和安全传输储存,实现了系统用户、实验模拟管理、教程案例管理、学习记录管理、系统管理、网站公告管理、资源管理、交流管理等多元丰富的功能,最终构建和部署了一个功能完善且易于使用的网络安全科普学习系统。通过系统测试与用户反馈,证明该系统具备良好的稳定性和可扩展性,能够有效地支持用户进行网络安全知识的学习和实践,提升用户的网络安全意识和防御能力。本研究不仅有助于构建更加安全的网络环境,提高公众对网络安全问题的认识和应对能力,而且能够推动网络安全教育的推广与普及的数字化转型,同时也为类似在线教育平台的开发提供了宝贵的技术参考,具有重要的现实意义和社会价值。
关键词:网络安全科普学习系统;Django框架;Python语言;在线学习
With the rapid development of the Internet, network security issues have become increasingly prominent and become the focus of attention of all walks of life. However, the public's understanding and mastery of cybersecurity knowledge is generally low, leading to a lack of necessary awareness and skills in preventing cyber threats. It is particularly important to design and implement an efficient and convenient network security science popularization learning system in order to enhance the public's awareness and technological level of network security. This study conducted in-depth research and analysis on the current situation and user needs of network security science popularization. Using object-oriented development methods, Django was applied as the backend framework to implement backend business logic, and MySQL database was used to achieve efficient data management and secure transmission and storage. Various rich functions such as system user, experiment simulation management, tutorial case management, learning record management, system management, website announcement management, resource management, and communication management were realized. Finally, a fully functional and easy-to-use network security science popularization learning system was constructed and deployed. Through system testing and user feedback, it has been proven that the system has good stability and scalability, and can effectively support users in learning and practicing network security knowledge, enhancing their network security awareness and defense capabilities. This study not only helps to build a more secure network environment, improve public awareness and response capabilities to network security issues, but also promotes the digital transformation of network security education promotion and popularization. At the same time, it provides valuable technical references for the development of similar online education platforms, which has important practical significance and social value.
Key words:Network Security Science Popularization Learning System; Django framework; Python language; online learning
目 录
随着信息技术的不断进步,网络安全问题日益严峻,各类网络攻击频繁发生,给个人、企业和国家安全带来了严重威胁。网络安全不仅关乎技术领域的发展,更是关系到社会的稳定与经济的可持续发展。在这种情况下,大众的网络安全意识亟需提升,但现阶段的网络安全培训和教育相对滞后,缺乏系统性和互动性。因此,搭建一个网络安全科普学习系统,能够使用户方便地获取网络安全知识和技能,成为提升社会整体网络安全意识的重要途径。
本项目旨在引入信息化技术设计和实现一套功能齐全和用户友好的网络安全科普学习系统,以更好地推广与普及网络安全教育,提升社会大众的网络安全意识和技术水平。基于Django的网络安全科普学习系统的开发,能够构建一个集知识共享、测评、学习及交流等功能为一体的综合性学习科普平台,为用户带来更便捷的学习渠道和体验,帮助用户更好地理解和掌握基本的网络安全知识与技能。同时,通过互动与实际、颁发学习徽章及证书等操作的形式,增强学习的趣味性和有效性,激发用户的学习兴趣和积极性,并根据不同用户的需求和水平,提供个性化的学习路径和建议,提升用户学习效果。本系统的成功构建不仅满足了实际应用的需要,为推动全社会网络安全教育提供了技术支持,有效提升用户的网络安全技能与知识,也在理论上为相关领域的研究和类似教育系统的开发提供了新的视角和思路,具有重要理论价值和实践意义。
在国内,网络安全教育近年来逐渐受到重视,尤其是在2017年《网络安全法》实施后,国家对网络安全人才的培养和公众网络安全意识的提升提出了更高的要求。各大高校已在网络安全领域开设相关课程。例如,清华大学设立了信息安全专业,结合理论学习与实训项目,培养学生的实践能力。同时,北京邮电大学推出了网络安全与信息化专业,通过多年来的实践和科研积累,已成为国内该领域的人才培养高地。随着网络安全产业的发展,各类职业培训机构和在线教育平台相继推出网络安全课程。像“网络安全师”这一职业认证,在国内职业资格考试中受到越来越多的关注。同时,如“慕课网”一类学习平台也提供了多种网络安全主题的在线学习课程,让更多人能够更方便地获取和接触到相关知识。此外, 国家网络与信息安全信息通报中心等机构定期发布网络安全报告和白皮书,向公众普及网络安全知识。同时,各地方政府也通过举办网络安全宣传周、讲座等活动,提高公众的安全意识。如在“国家网络安全宣传周”期间,组织丰富多彩的活动,以增强公众的参与感和认知。
国外方面,关于网络安全教育早已形成了较为系统和完善的体系。尤其欧美等地在该领域的发展尤为领先。美国的诸多大学已开设网络安全相关专业,如斯坦福大学与麻省理工学院都提供高水平的网络安全课程,结合理论与实践,培养高水平的网络安全人才。这类网络安全课程不仅包括理论知识,还注重实战演练,比如MIT的“网络安全与法律”课程,结合法律与技术的知识培养学生的综合能力。如CompTIA、(ISC)²、ISACA等国际上知名的网络安全认证机构,也提供了广泛的培训项目和认证考试,以帮助从业人员提升专业技能。例如,CISSP(国际信息系统安全认证专家)作为业界广泛认可的高水平网络安全认证,对于提升专业人士的职业竞争力有重要作用,并对行业标准和人才培养产生深远影响。此外,美国国家网络安全联盟(National Cyber Security Alliance)等组织也推出了多种网络安全教育资源及互动工具,以提高公众的网络安全意识。NCSA的“安全网络与意识日”每年吸引大量公众参与,通过开展公众教育活动和资源分享,有效提升了网络安全教育普及的效果。同时,一些非营利组织和社区也在积极开展网络安全意识提升活动。例如,Stop.Think.Connect.提供了一系列在线课程和资源,旨在提高家庭和个人的网络安全意识,通过互动性强的内容吸引公众参与网络安全教育活动。
本文主要围绕如何基于Django架构设计与实现一套网络安全科普学习系统,主要包含绪论、相关技术介绍、系统分析、系统设计、系统实现、系统测试、结论等内容,具体论文章节和结构如下。
绪论:本章主要介绍网络安全科普学习系统的研究背景和意义、国内外研究现状及论文的整体结构安排。
相关技术介绍:本章详细描述Python语言、Django框架、MySQL数据库等关键技术各自的特点及其在项目中的作用。
系统分析:本章从需求分析入手,明确系统的功能需求和非功能需求,包含可行性、功能、用例及性能等方面,为系统开发奠定基础。
系统设计:本章主要从软件工程的角度,对系统的架构、功能、数据库等方面对系统进行详细设计。
系统实现:本章介绍系统开发实现过程,具体描述关键模块的实现细节并给出界面截图。
系统测试:本章说明系统测试方案、测试用例及测试结果,以验证系统功能和性能。
结论:本章主要总结研究成果,指出系统不足之处,并对未来工作提出展望。
相关技术介绍
网络安全科普学习系统使用Python语言作为主要语言,基于Django框架开发而成,存储数据使用的是使用较为广泛的MySQL数据库[1]。系统所使用的系统开发环境如下表2-1所示。
表2-1系统开发环境
开发环境类型 |
开发技术和工具名称 |
操作系统版本 |
Win10 |
数据库环境 |
MySQL5.7 |
开发语言 |
Python |
主要技术 |
Django、PyCharm、Vs Code、HbuildX、Navicat、bootstrap…… |
Chrome |
Python是一种高级编程语言,以其简洁和易读的语法而闻名[2]。Python支持多种编程模式,包括面向对象、命令式、函数式编程等,非常适合快速开发Web应用、数据分析、自动化脚本等多种用途,被广泛用于各种领域。同时,Python 有着强大的社区支持,提供了丰富的第三方库和框架,使得开发者可以高效地实现复杂功能[3]。在本项目中,Python被用作主要的后端开发语言,负责处理业务逻辑和数据操作,为服务提供稳定和高效的支持。
MySQL是一个开源的关系型数据库管理系统,因其性能稳定、易于使用而被广泛应用于各种规模的应用程序中[4]。MySQL支持SQL语言,允许开发者通过编写查询语句来执行数据的增删改查操作[5]。作为一种通用的数据库操作语言,MySQL简单易学,功能强大,在本项目中,MySQL主要用于存储系统中的所有重要信息,确保数据的安全性和一致性。
Django是一个基于Python的高级Web框架,遵循MTV(模型Model-视图View-模板Template)设计模式[6]。它提供了一种高效的方式来构建安全、维护性强的网站。Django内置了强大的管理界面生成工具,使得管理员可以轻松地进行内容管理;同时,其自带的用户认证系统也大大简化了注册登录功能的实现[7]。在本项目中,Django用于搭建整个系统的架构,包括前端展示层、业务逻辑层以及数据访问层的设计与实现。
B/S模式,即浏览器/服务器模式,是一种常见的网络应用架构模式。在B/S模式中,用户通过浏览器作为客户端与服务器进行交互[8]。在浏览器/服务器(browser / Server Architecture)系统中,用户只需通过浏览器,就能够轻松地向分布在网络各处的众多服务器发送海量的请求。B/S系统大大地简化了客户端的工作,让用户体验更加便捷[9]。
尽管Django提供了模板引擎来生成HTML页面,但为了提升用户体验,我们还需要使用HTML、CSS和JavaScript来创建动态且美观的前端界面。HTML定义网页结构,CSS控制样式布局,而JavaScript则用来添加交互性,比如表单验证、动态加载内容等功能。这些技术与Django框架相结合,为用户提供了一个直观易用的操作界面。
本章主要详细介绍了实现网络安全科普学习系统所依赖的关键技术,包括Python语言、Django框架,前端技术的选择与应用,以及数据库管理和服务器部署方案。通过这些技术的结合使用,确保了系统具有良好的扩展性和维护性,同时也提升了用户体验。
通过综合考虑经济、操作、技术等因素,可以对基于Django的网络安全科普学习系统的可行性进行全面评估。这将有助于确定项目的成功概率,并为项目规划提供坚实的基础。
在项目上所使用的Python语言、Django框架等开发技术和工具大部分都是当下流行开源免费的,且在校内进行过系统学习,能够由本人独自完成开发,大大降低了项目开发成本。所以系统在开发人力、财力上要求不高,而且此系统不是很复杂,开发周期短。此外系统上线后,通过广告和其他增值服务创造营收以支撑系统运维成本。所以,在经济方面具有较高的可行性。
当前,Django框架已被广泛应用于Web开发领域,具有丰富的开发社区支持和技术文档。系统的硬件与软件环境均可通过现有的服务器资源进行搭建,网络连接和数据库等基础设施完整,技术上具备实现该项目的能力。
本系统将考虑用户的具体需求,通过用户测试与反馈不断优化界面与功能。同时系统的设计注重易用性,界面设计简洁直观,操作流程清晰明了,以确保各类用户均顺利操作,具有基本计算机知识的人即可流畅使用本系统。因此操作可行性也没有问题。
通过对应的功能做了需求分析以后该网络安全科普学习系统各角色主要包括的功能说明如下。
根据使用该系统的用户角色可以划分为普通用户和管理员,其中管理员是系统最高权限拥有者,负责维护和管理系统。
- 普通用户角色:
- 注册登录:提供用户注册和登录功能,确保用户可以创建账户和正常访问系统,以便使用系统全部功能,进行相应操作。
- 首页:展示网站的主要内容、信息概览和功能入口,让用户快速了网站的最新动态。
- 在线论坛:提供在线论坛功能,用户可以在在线论坛自己的经验、问题,同时浏览和评论其他用户的分享,并进行收藏。
- 在线测评:提供在线测评功能,用户可以搜索和选择试题完成答题进行自我评估,完成测试提交后可查看分数和答案解析,管理员根据用户成绩给出学习建议及资料。
- 网站公告:展示网站的网站公告,包括系统更新、公告通知等重要信息,确保用户及时获取相关网站公告。
- 新闻资讯:提供最新的新闻资讯和相关文章、新闻报道,让用户获取到各种有关新闻资讯的实用信息。
- 实验模拟:提供实验模拟记录功能,用户可以编辑和完善自己的实验模拟信息,提交的实验模拟信息可在个人中心进行管理。
- 教程案例:展示教程案例信息,用户可以浏览教程案例详细内容,支持收藏、点赞和评论教程案例,提供学习操作(可记录学习情况)。
- 我的账户:允许用户管理个人账户信息,包括修改密码、查看个人信息等操作,保障账户安全和隐私。
- 个人中心:展示用户的个人信息和相关操作入口(包括个人首页、实验模拟、学习记录、收藏、评论管理),方便用户管理自己的内容和信息。具体包括用户可查询和更新自己的实验模拟信息,可查阅自己的学习记录,确认自己的获得学习徽章,支持下载学习证书。
网络安全科普学习系统普通用户角色用例图如下所示。

图3-1 普通用户角色用例图
- 管理员角色:
- 登录:提供管理员用户登录功能,确保只有授权的管理员可以访问系统后台,更新系统各类信息和维护系统正常运转,支持更新个人资料和密码。
- 后台首页:展示管理员的个人信息及相关操作入口,方便管理员快速进行管理和监控。
- 系统用户管理:允许管理员管理系统的用户(管理员、普通用户),包括添加新用户、编辑用户信息、重置密码及封禁用户等操作,以确保系统的权限管理和安全性。
- 实验模拟管理:提供实验模拟信息的管理功能,允许管理员添加、删除、更新和查阅实验模拟信息。
- 教程案例管理:提供教程案例信息的管理功能,支持管理员发布、编辑、删除和搜索教程案例,确保及时更新教程案例和维护评论内容。
- 学习记录管理:提供学习记录信息的管理功能,支持管理员增改删查学习记录信息,负责根据用户的学习记录情况颁发学习徽章和学习证书。
- 系统管理:可以对前台展示的轮播图进行设置,允许管理员上传、编辑、删除轮播图,并支持附带相应图片跳转链接。
- 网站公告管理:提供网站公告的管理功能,允许管理员发布、编辑、删除系统网站公告,确保用户及时了解重要信息。
- 资源管理:提供新闻资讯、资讯分类及在线测评信息的管理功能,支持管理员发布、编辑、删除新闻资讯内容,进行资讯分类管理,并可管控相关评论内容;负责创建试卷导入题库,发布在线测评,批改主观题(客观题由系统自动评分)并根据测评成绩给予评语建议。
- 交流管理:提供在线论坛和论坛分类的管理功能,支持管理员发布、编辑、删除在线论坛内容,进行论坛分类管理,并可管控相关评论内容。
网络安全科普学习系统管理员角色用例图如下所示。

图3-2 管理员角色用例图
用户操作响应时间:系统应保证用户在操作平台时的响应速度,例如实现添加信息、搜索信息等操作应该迅速响应。
系统稳定性:平台应具备一定的容错能力和稳定性,防止因为意外情况导致系统崩溃。
数据安全:用户信息等敏感数据需要加密存储,确保数据安全性。
系统并发能力:平台应考虑到可能大量用户同时访问的情况,保证系统的并发处理能力。
日志记录:系统需要记录用户操作日志、异常日志等,便于排查问题和分析用户行为。
基于以上性能需求将确保网络安全科普学习系统能够稳定、高效地运行,能够很好地满足用户和管理员的需求。
-
- 系统流程分析
注册的过程,第一部分是账号的注册,第二部分是信息完善。在业务开展过程中,管理员可对用户信息进行修改等管理操作,注册流程如图3-3用户注册流程图所示。

图3-3 用户注册流程图
登录时,用户填写用户名、密码、选择身份进行登录,在登录过程中后端会对发送过来的信息进行验证和判断,具体的登录流程如图3-4用户登录流程图所示。

图3-4 用户登录流程图
本章主要通过对网络安全科普学习系统的可行性分析、功能需求分析、系统用例分析,性能需求分析等方面,确定整个网络安全科普学习系统要实现的功能。同时也为网络安全科普学习系统的代码实现和测试提供了标准。
- 系统功能模块设计
基于网络安全科普学习系统程序采用前后端分离的设计,可以划分为普通用户模块和管理员模块两大部分。其中普通用户是系统主要使用者。普通用户可搜索和浏览包括论坛、测评、资讯、教程等各类系统信息,实现在发布帖子、测评答题、记录实验模拟及学习情况等操作。系统管理员则负责系统各类信息的日常更新,进行系统设置和维护等关键任务。系统总体功能模块图如下图所示。

图4-1系统功能模块图
数据库的设计是系统的设计中比较重要的一部分内容,数据库设计是一切系统设计的基础,首先需要进行概念模型E-R图的设计,然后进行关系模型物理模型的建立。
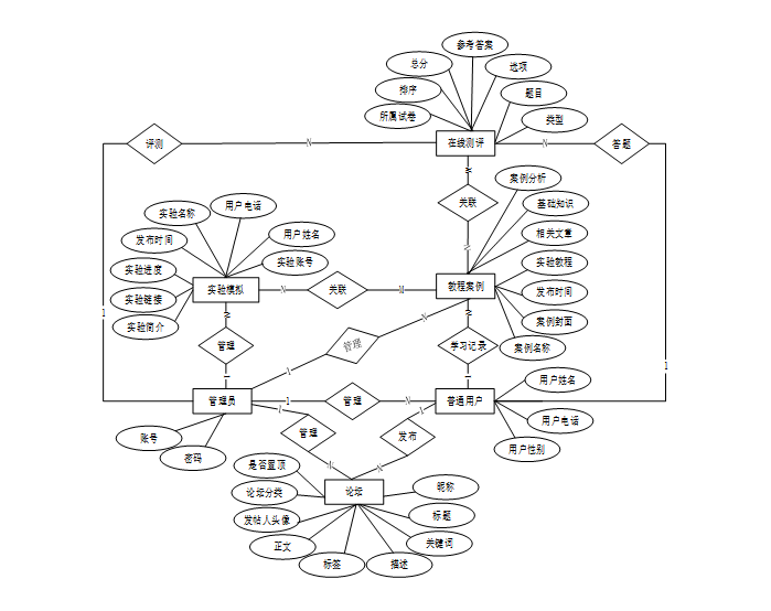
本文在系统分析阶段就抽取了一些实体,根据实体之间的关系,经过分析进行系统E-R图的设计。网络安全科普学习系统总体E-R图如下图所示。

图4-3 系统总体E-R图
本系统采MySQL数据库管理系统对数据进行管理。下面是对各个表中的表中各个字段数据类型、大小等做简短描述。网络安全科普学习系统所需要的部分数据结构表如下表所示。
表4-1 ordinary_users(普通用户)
编号 |
字段名 |
类型 |
长度 |
是否非空 |
是否主键 |
注释 |
1 |
ordinary_users_id |
int |
是 |
是 |
普通用户ID |
|
2 |
user_name |
varchar |
64 |
否 |
否 |
用户姓名 |
3 |
user_phone_number |
varchar |
16 |
否 |
否 |
用户电话 |
4 |
user_gender |
varchar |
64 |
否 |
否 |
用户性别 |
5 |
examine_state |
varchar |
16 |
是 |
否 |
审核状态 |
6 |
user_id |
int |
是 |
否 |
用户ID |
|
7 |
create_time |
datetime |
是 |
否 |
创建时间 |
|
8 |
update_time |
timestamp |
是 |
否 |
更新时间 |
表4-2 exam_question(试题)
编号 |
字段名 |
类型 |
长度 |
是否非空 |
是否主键 |
注释 |
1 |
exam_question_id |
mediumint |
是 |
是 |
试题ID |
|
2 |
type |
varchar |
20 |
否 |
否 |
类型 |
3 |
title |
varchar |
255 |
否 |
否 |
题目 |
4 |
question_item |
varchar |
500 |
否 |
否 |
选项 |
5 |
answer |
varchar |
500 |
否 |
否 |
参考答案 |
6 |
score |
double |
否 |
否 |
总分 |
|
7 |
question_order |
int |
否 |
否 |
排序 |
|
8 |
exam_id |
mediumint |
是 |
是 |
所属试卷 |
|
9 |
create_time |
timestamp |
是 |
否 |
创建时间 |
|
10 |
update_time |
timestamp |
是 |
否 |
更新时间 |
表4-3 experimental_simulation(实验模拟)
编号 |
字段名 |
类型 |
长度 |
是否非空 |
是否主键 |
注释 |
1 |
experimental_simulation_id |
int |
是 |
是 |
实验模拟ID |
|
2 |
experimental_account |
int |
否 |
否 |
实验账号 |
|
3 |
user_name |
varchar |
64 |
否 |
否 |
用户姓名 |
4 |
user_phone_number |
varchar |
64 |
否 |
否 |
用户电话 |
5 |
experiment_name |
varchar |
64 |
否 |
否 |
实验名称 |
6 |
release_time |
datetime |
否 |
否 |
发布时间 |
|
7 |
experimental_progress |
varchar |
64 |
否 |
否 |
实验进度 |
8 |
experimental_link |
text |
65535 |
否 |
否 |
实验链接 |
9 |
experimental_introduction |
text |
65535 |
否 |
否 |
实验简介 |
10 |
create_time |
datetime |
是 |
否 |
创建时间 |
|
11 |
update_time |
timestamp |
是 |
否 |
更新时间 |
表4-4 forum(论坛)
编号 |
字段名 |
类型 |
长度 |
是否非空 |
是否主键 |
注释 |
1 |
forum_id |
mediumint |
是 |
是 |
论坛ID |
|
2 |
display |
smallint |
是 |
否 |
排序 |
|
3 |
user_id |
mediumint |
是 |
否 |
用户ID |
|
4 |
nickname |
varchar |
16 |
否 |
否 |
昵称 |
5 |
praise_len |
int |
否 |
否 |
点赞数 |
|
6 |
hits |
int |
是 |
否 |
访问数 |
|
7 |
title |
varchar |
125 |
是 |
否 |
标题 |
8 |
keywords |
varchar |
125 |
否 |
否 |
关键词 |
9 |
description |
varchar |
255 |
否 |
否 |
描述 |
10 |
url |
varchar |
255 |
否 |
否 |
来源地址 |
11 |
tag |
varchar |
255 |
否 |
否 |
标签 |
12 |
img |
text |
65535 |
否 |
否 |
封面图 |
13 |
content |
longtext |
4294967295 |
否 |
否 |
正文 |
14 |
create_time |
timestamp |
是 |
否 |
创建时间 |
|
15 |
update_time |
timestamp |
是 |
否 |
更新时间 |
|
16 |
avatar |
varchar |
255 |
否 |
否 |
发帖人头像 |
17 |
type |
varchar |
64 |
是 |
否 |
论坛分类 |
18 |
istop |
int |
是 |
否 |
是否置顶 |
表4-5 learning_record(学习记录)
编号 |
字段名 |
类型 |
长度 |
是否非空 |
是否主键 |
注释 |
1 |
learning_record_id |
int |
是 |
是 |
学习记录ID |
|
2 |
learning_account |
int |
否 |
否 |
学习账号 |
|
3 |
user_name |
varchar |
64 |
否 |
否 |
用户姓名 |
4 |
user_phone_number |
varchar |
16 |
否 |
否 |
用户电话 |
5 |
case_name |
varchar |
64 |
否 |
否 |
案例名称 |
6 |
study_time |
datetime |
否 |
否 |
学习时间 |
|
7 |
learning_process |
varchar |
64 |
否 |
否 |
学习进程 |
8 |
learning_details |
text |
65535 |
否 |
否 |
学习详情 |
9 |
learning_experience |
text |
65535 |
否 |
否 |
学习心得 |
10 |
learning_badge |
varchar |
255 |
否 |
否 |
学习徽章 |
11 |
learning_certificate |
varchar |
255 |
否 |
否 |
学习证书 |
12 |
create_time |
datetime |
是 |
否 |
创建时间 |
|
13 |
update_time |
timestamp |
是 |
否 |
更新时间 |
|
14 |
source_table |
varchar |
255 |
否 |
否 |
来源表 |
15 |
source_id |
int |
否 |
否 |
来源ID |
|
16 |
source_user_id |
int |
否 |
否 |
来源用户 |
表4-6 tutorial_case(教程案例)
编号 |
字段名 |
类型 |
长度 |
是否非空 |
是否主键 |
注释 |
1 |
tutorial_case_id |
int |
是 |
是 |
教程案例ID |
|
2 |
case_name |
varchar |
64 |
否 |
否 |
案例名称 |
3 |
case_cover |
varchar |
255 |
否 |
否 |
案例封面 |
4 |
release_time |
datetime |
否 |
否 |
发布时间 |
|
5 |
experimental_tutorial |
varchar |
255 |
否 |
否 |
实验教程 |
6 |
related_articles |
varchar |
255 |
否 |
否 |
相关文章 |
7 |
basic_knowledge |
text |
65535 |
否 |
否 |
基础知识 |
8 |
case_analysis |
longtext |
4294967295 |
否 |
否 |
案例分析 |
9 |
hits |
int |
是 |
否 |
点击数 |
|
10 |
praise_len |
int |
是 |
否 |
点赞数 |
|
11 |
collect_len |
int |
是 |
否 |
收藏数 |
|
12 |
comment_len |
int |
是 |
否 |
评论数 |
|
13 |
learning_record_limit_times |
int |
是 |
否 |
学习限制次数 |
|
14 |
create_time |
datetime |
是 |
否 |
创建时间 |
|
15 |
update_time |
timestamp |
是 |
否 |
更新时间 |
表4-7 user_answer(用户答题)
编号 |
字段名 |
类型 |
长度 |
是否非空 |
是否主键 |
注释 |
1 |
user_answer_id |
mediumint |
是 |
是 |
用户答题ID |
|
2 |
user_id |
mediumint |
是 |
否 |
用户ID |
|
3 |
exam_id |
mediumint |
是 |
是 |
考试id |
|
4 |
score |
double |
否 |
否 |
分数 |
|
5 |
answers |
text |
65535 |
否 |
否 |
答案 |
6 |
score_detail |
text |
65535 |
否 |
否 |
评分详情 |
7 |
objective_score |
double |
否 |
否 |
客观题得分 |
|
8 |
subjective_score |
double |
否 |
否 |
主观题得分 |
|
9 |
score_state |
tinyint |
否 |
否 |
评分状态 |
|
10 |
nickname |
varchar |
255 |
否 |
否 |
提交人 |
11 |
create_time |
timestamp |
是 |
否 |
创建时间 |
|
12 |
update_time |
timestamp |
是 |
否 |
更新时间 |
|
13 |
comment_desc |
varchar |
255 |
否 |
否 |
评语 |
系统设计部分主要阐述了整个网络安全科普学习系统的总体设计思路,包括系统架构和各模块的功能划分,并通过建立E-R模型和数据库逻辑系统设计完成了数据库系统设计。
用户在注册页面填写表单,通过提供如用户名、密码、电子邮件地址等必要的信息进行注册,注册信息主要用于验证身份并与用户帐户关联。系统将对输入的信息进行验证,比如检查用户名或电子邮件是否已存在、密码的复杂度等,验证通过,即注册成功。界面布局如下图所示。

图5-1 前台注册界面图
用户在登录页面输入用户名和密码,系统回检查输入的凭据是否与数据库中存储的信息匹配。若匹配,用户身份验证成功即可成功登录系统;若不匹配,系统会提示错误。界面布局如下图所示。

图5-2 前台登录界面图
用户登录后首先进入系统首页界面,首页主要提供快捷搜索功能及功能导航,并展示系统信息概览和各类推荐信息等,让用户快速了网站的最新动态。界面布局如下图所示。

图5-3 前台首页界面图
在线测评模块提供在线测评功能,用户可以搜索和选择试题完成答题进行自我评估,完成测试提交后可查看分数和答案解析,管理员根据用户成绩给出学习建议及资料。界面布局如下图所示。

图5-4 在线测评界面图
实验模拟模块提供实验模拟记录功能,用户可以编辑和完善自己的实验模拟信息,提交的实验模拟信息可在个人中心进行管理。界面布局如下图所示。

图5-5 实验模拟界面图
教程案例模块展示教程案例信息,用户可以浏览教程案例详细内容,支持收藏、点赞和评论教程案例,提供学习操作(可记录学习情况)。界面布局如下图所示。

图5-6 教程案例界面图
个人中心模块展示用户的个人信息和相关操作入口(包括个人首页、实验模拟、学习记录、收藏、评论管理),方便用户管理自己的内容和信息。具体包括用户可查询和更新自己的实验模拟信息,可查阅自己的学习记录,确认自己的获得学习徽章,支持下载学习证书。界面布局如下图所示。

图5-7 个人中心界面图
-
- 管理员功能模块实现
- 系统用户管理模块
- 管理员功能模块实现
系统用户管理模块允许管理员管理系统的用户(管理员、普通用户),包括添加新用户、编辑用户信息、重置密码及封禁用户等操作,以确保系统的权限管理和安全性。界面布局如下图所示。

图5-8 系统用户管理界面图
实验模拟管理模块提供实验模拟信息的管理功能,允许管理员添加、删除、更新和查阅实验模拟信息。界面布局如下图所示。

图5-9 实验模拟管理界面图
教程案例管理模块提供教程案例信息的管理功能,支持管理员发布、编辑、删除和搜索教程案例,确保及时更新教程案例和维护评论内容。界面布局如下图所示。

图5-10 教程案例管理界面图
学习记录管理模块提供学习记录信息的管理功能,支持管理员增改删查学习记录信息,负责根据用户的学习记录情况颁发学习徽章和学习证书。界面布局如下图所示。

图5-11 学习记录管理界面图
资源管理模块提供新闻资讯、资讯分类及在线测评信息的管理功能,支持管理员发布、编辑、删除新闻资讯内容,进行资讯分类管理,并可管控相关评论内容;负责创建试卷导入题库,发布在线测评,批改主观题(客观题由系统自动评分),并根据测评成绩给予评语建议。界面布局如下图所示。

图5-12 资源管理界面图
本章主要阐述网络安全科普学习系统的系统实现,根据系统功能的划分,分别的对系统所需要实现的用户功能和管理员功能进行了分析和说明。
系统测试的主要目的是验证基于Django架构的网络安全科普学习系统的各项功能是否按照需求规格说明书的要求正确实现,确保系统在不同的运行环境下能够稳定、高效地工作[10]。在进行软件测试时,为了确保系统的可靠性、安全性和高效性,可以采用了单元测试、集成测试、性能测试等多种测试方法相结合的方式进行系统测试,有效地保障网络安全科普学习系统的质量,确保其能够顺利上线并为用户提供优质的服务。
本次测试主要对进行严格系统测试,即在完整系统环境下,对系统功能、性能、安全性进行全面验证。按照用户需求场景设计测试用例,涵盖所有功能模块,确保系统整体稳定运行,包括正向、反向、异常等多种情况的验证。
以下是将主要对功能测试和性能测试进行编写测试用例,以验证系统功能是否按预期工作,确保系统在不同设备和浏览器中的表现一致,并评估系统在高负载情况下的响应时间和稳定性。
功能测试主要对注册功能、登录功能、实验模拟管理功能、教程案例管理功能、学习记录管理功能、在线测评管理功能等核心功能模块进行测试,具体功能测试用例如下所示。
注册功能测试用例设计如下表所示。
表6-1 注册功能测试用例
用例编号 |
测试目的 |
测试步骤 |
预期结果 |
实际结果 |
TC001 |
验证用户能够成功注册 |
1. 打开注册页面。2. 输入有效的用户名、邮箱和密码。3. 提交注册信息 |
注册成功,重定向至登录页面 |
与预期一致 |
TC002 |
验证用户名重复注册 |
1. 打开注册页面。2. 输入已存在的用户名。3. 提交注册信息。 |
显示用户名已存在的错误提示 |
与预期一致 |
TC003 |
验证邮箱格式正确性 |
1. 打开注册页面。2. 输入无效的邮箱格式。3. 提交注册信息。 |
显示邮箱格式不正确的错误提示 |
与预期一致 |
登录功能测试用例设计如下表所示。
表6-2 登录功能测试用例
测试编号 |
测试目的 |
测试步骤 |
预期结果 |
实际结果 |
TC001 |
验证用户能够成功登录 |
1. 打开登录页面。2. 输入正确的用户名和密码。3. 提交登录信息 |
登录成功,重定向至用户主页 |
与预期一致 |
TC002 |
验证登录失败情况 |
1. 打开登录页面。2. 输入错误的密码。3. 提交登录信息。 |
显示登录失败的提示信息 |
与预期一致 |
实验模拟管理功能测试用例设计如下表所示。
表6-3 实验模拟管理功能测试用例
测试编号 |
测试目的 |
测试步骤 |
预期结果 |
实际结果 |
TC001 |
验证实验模拟添加功能 |
1. 登录用户帐户。2. 进入实验模拟添加界面。3. 输入新实验模拟详细内容。4. 点击提交。 |
新实验模拟添加成功,显示在列表中 |
与预期一致 |
TC002 |
验证实验模拟删除功能 |
1. 登录管理员帐户。2. 进入实验模拟管理界面。3. 选择一项或多项实验模拟。4. 点击删除。 |
实验模拟删除成功,不再显示在列表中 |
与预期一致 |
TC003 |
验证实验模拟修改功能 |
1. 登录管理员帐户。2. 进入实验模拟管理界面。3. 点击修改,修改实验模拟。4. 点击提交。 |
实验模拟修改成功,显示在列表中 |
与预期一致 |
TC004 |
验证实验模拟搜索功能 |
1. 登录管理员帐户。2. 进入实验模拟管理界面。3. 在搜索框输入关键词搜索特定实验模拟。4. 点击搜索。 |
显示相关关键词下的特定实验模拟 |
与预期一致 |
教程案例管理功能测试用例设计如下表所示。
表6-3 教程案例管理功能测试用例
测试编号 |
测试目的 |
测试步骤 |
预期结果 |
实际结果 |
TC001 |
验证教程案例添加功能 |
1. 登录管理员帐户。2. 进入教程案例管理界面。3. 点击添加,输入新教程案例详细内容。4. 点击提交。 |
新教程案例添加成功,显示在列表中 |
与预期一致 |
TC002 |
验证教程案例删除功能 |
1. 登录管理员帐户。2. 进入教程案例管理界面。3. 选择一项或多项教程案例。4. 点击删除。 |
教程案例删除成功,不再显示在列表中 |
与预期一致 |
TC003 |
验证教程案例修改功能 |
1. 登录管理员帐户。2. 进入教程案例管理界面。3. 点击修改,修改教程案例。4. 点击提交。 |
教程案例修改成功,显示在列表中 |
与预期一致 |
TC004 |
验证教程案例搜索功能 |
1. 登录管理员帐户。2. 进入教程案例管理界面。3. 在搜索框输入关键词搜索特定教程案例。4. 点击搜索。 |
显示相关关键词下的特定教程案例 |
与预期一致 |
学习记录管理功能测试用例设计如下表所示。
表6-5 学习记录管理功能测试用例
测试编号 |
测试目的 |
测试步骤 |
预期结果 |
实际结果 |
TC001 |
验证学习记录添加功能 |
1. 登录用户帐户。2. 进入学习记录添加界面。3. 输入新学习记录详细内容。4. 点击提交 |
新学习记录添加成功,显示在列表中 |
与预期一致 |
TC002 |
验证学习记录删除功能 |
1. 登录管理员帐户。2. 进入学习记录管理界面。3. 选择一项或多项学习记录。4. 点击删除。 |
学习记录删除成功,不再显示在列表中 |
与预期一致 |
TC003 |
验证学习记录修改功能 |
1. 登录管理员帐户。2. 进入学习记录管理界面。3. 点击修改,修改学习记录。4. 点击提交。 |
学习记录修改成功,显示在列表中 |
与预期一致 |
TC004 |
验证学习记录搜索功能 |
1. 登录管理员帐户。2. 进入学习记录管理界面。3. 在搜索框输入关键词搜索特定学习记录。4. 点击搜索。 |
显示相关关键词下的特定学习记录 |
与预期一致 |
在线测评管理功能测试用例设计如下表所示。
表6-5 在线测评管理功能测试用例
测试编号 |
测试目的 |
测试步骤 |
预期结果 |
实际结果 |
TC001 |
验证在线测评添加功能 |
1. 登录管理员帐户。2. 进入在线测评管理界面。3. 点击添加,输入新在线测评详细内容。4. 提交 |
新在线测评添加成功,显示在列表中 |
与预期一致 |
TC002 |
验证在线测评删除功能 |
1. 登录管理员帐户。2. 进入在线测评管理界面。3. 选择一项或多项在线测评。4. 点击删除。 |
在线测评删除成功,不再显示在列表中 |
与预期一致 |
TC003 |
验证在线测评修改功能 |
1. 登录管理员帐户。2. 进入在线测评管理界面。3. 点击修改,修改在线测评。4. 点击提交。 |
在线测评修改成功,显示在列表中 |
与预期一致 |
TC004 |
验证在线测评搜索功能 |
1. 登录管理员帐户。2. 进入在线测评管理界面。3. 在搜索框输入关键词搜索特定在线测评。4. 点击搜索。 |
显示相关关键词下的特定在线测评 |
与预期一致 |
性能测试主要从响应时间、负载、压力、稳定性、吞吐量、网络延迟等方面进行测试,性能测试用例如下表所示。
表6-6 性能测试用例
用例名称 |
测试目标 |
测试步骤 |
预期结果 |
实际结果 |
响应时间测试 |
测试系统响应请求的时间 |
1. 发送请求到指定API。2. 记录每次响应时间。3. 重复测试10次。 |
所有请求的响应时间小于2秒 |
与预期一致 |
负载测试 |
测试系统在特定负载下的表现 |
1. 设置虚拟用户数(如100、200、500等)。2. 发送并发请求。3. 监控资源使用情况。 |
系统能在1000个虚拟用户下正常响应 |
与预期一致 |
压力测试 |
测试系统在超负载下的稳定性 |
1. 逐步增加虚拟用户数。2. 监控响应时间和错误率。3. 确定系统崩溃点。 |
系统在高负载下能够响应,错误率低于1% |
与预期一致 |
稳定性测试 |
测试系统在长时间运行下的表现 |
1. 设置负载(如100用户)。2. 持续测试24小时。3. 记录响应时间和资源使用情况。 |
响应时间稳定,无明显波动 |
与预期一致 |
吞吐量测试 |
测试系统的处理能力 |
1. 设定时间段(如1分钟)。2. 测试不同负载下的吞吐量。3. 统计处理的请求数。 |
吞吐量应在预定范围内(如1000请求/分钟) |
与预期一致 |
网络延迟测试 |
测试远程访问的延迟 |
1. 设置不同地区的虚拟用户。2. 记录每个请求的延迟时间。3. 测量不同位置的平均延迟。 |
平均延迟少于300毫秒 |
与预期一致 |
经过对系统的全面测试,进行编写网络安全科普学习系统的测试用例,本次测试过程主要对注册功能、登录功能、实验模拟管理、教程案例管理、学习记录功能、在线测评等核心功能及系统性能进行系统测试。在测试过程中,可以确保所有核心功能均能够按照预期的要求顺利进行,无明显功能缺失。系统能够妥善处理用户输入的错误数据,并提供友好的反馈信息。在常规的负载下,系统响应时间在可接受范围内,满足用户需求。综上所诉,本网络安全科普学习系统功能完善,运行稳定,使用流畅,达到了预期设计要求。
本章主要对网络安全科普学习系统的进行系统且严格的测试,编写测试用例,检测程序是否运行无误,以确保系统运转正常且数据库无误,并实现其预期的功能。
结 论
在基于Django框架下的网络安全科普学习系统设计与实现中,通过普通用户以及管理员角色的划分,实现了多层次的用户管理和权限控制。该系统的设计主要考虑了用户需求、系统功能的完整性、以及高效的技术实现,旨在为用户提供高效便捷的网络安全科普学习体验。通过使用Django架构,系统具备了良好的可扩展性、易维护性及高性能。通过对系统需求的详细分析,明确了用户的核心需求,实现了包括公告、资讯、教程案例浏览,在线测评、实验模拟及学习记录等功能,基本满足整个网络安全科普学习流程,有效提升科普学习效率和用户体验。通过数据库优化和缓存技术,系统提升了响应速度和并发处理能力。
在未来的发展中,可以进一步优化系统的响应速度和用户体验,加强对用户行为的分析与挖掘,以实现个性化推荐。同时,可结合大数据和人工智能技术,提升平台的智能化水平,为用户提供更加智能化、便捷化的服务。此外,加强对安全性的防护和隐私保护,是平台未来发展的重要方向之一,以更好保障用户信息的安全与私密性,维护良好的用户口碑。
简而言之,通过不断优化和创新,基于Django的网络安全科普学习系统将更好地满足用户的多样化需求,成为用户信赖和选择的首要平台之一。通过本次项目,不仅深入理解了Django框架的应用和网络安全科普学习系统的设计思路,也积累了丰富的实际开发经验。未来,将进一步优化系统的稳定性和安全性,引入更多智能化和个性化的功能,以更好地满足用户需求和市场变化。
致 谢
在完成本论文的研究与写作过程中,我深切感受到了来自各方的帮助和支持。在此,我衷心地向所有给予我帮助的人表示最诚挚的感谢。首先,我要特别感谢我的导师,不仅在学术上给予我无私的指导,而且在生活上给予我关怀和支持。是您严谨的学术态度和勤奋的工作精神将永远激励我不断前进。其次,我要感谢所有教导过我的老师们,是你们精彩课堂和深入的指导为我的研究工作提供了宝贵的知识和灵感。我还要感谢我的家人,他们的理解和支持是我完成学业的坚强后盾。在我遇到困难和挑战时,他们总是给予我鼓励和力量。此外,我也要感谢我的朋友和同学们,你们的陪伴和帮助使我的研究生活更加丰富多彩。我们共同度过的时光将成为我一生中宝贵的回忆。最后,我要感谢所有支持本项目,为本项目提供建设性意见的人员,没有他们的协助,本论文无法顺利完成。再次感谢所有帮助和支持我的人,是你们的帮助使我的研究之路不再孤单。
参考文献
- 兰琳琳.基于MySQL-Django-Vue的在线考试系统[J].电脑知识与技术,2024,20(33):51-54.DOI:10.14004/j.cnki.ckt.2024.1702.
- 石也牧.浅谈如何写出整洁的Python代码[J].科技风,2025,(01):147-150.DOI:10.19392/j.cnki.1671-7341.202501048.
- 陈俊.基于Python的个性化在线学习系统的设计与实现[J].电脑知识与技术,2023,19(28):37-39.DOI:10.14004/j.cnki.ckt.2023.1502.
- 戴靓婕,王希.MYSQL数据库访问技术及Python运用研究[J].长江信息通信,2024,37(10):54-56.DOI:10.20153/j.issn.2096-9759.2024.10.014.
- 杨洪涛.基于Python+MySQL的学生成绩管理系统的设计与实现[J].电脑编程技巧与维护,2023,(05):86-89.DOI:10.16184/j.cnki.comprg.2023.05.036.
- 秋怡,郭盘江.基于Django的野生动物种群信息管理系统[J].物联网技术,2025,15(07):99-102.DOI:10.16667/j.issn.2095-1302.2025.07.020.
- 高迎.基于Django的健康宣教系统的设计与实现[J].科技与创新,2024,(13):80-83+90.DOI:10.15913/j.cnki.kjycx.2024.13.020.
- 李佳俊,何玥,钱嵩橙,等.“互联网+”背景下基于B/S的云教育系统设计[J].软件,2022,43(10):173-177.
- 马羽翔.Web辅助学习平台的设计与实现[J].福建电脑,2025,41(03):73-78.DOI:10.16707/j.cnki.fjpc.2025.03.015.
- 陈玲.基于Django的名著人物展示系统的设计与实现[J].中国信息界,2024,(07):188-190.
- 刘易.高校大学生网络安全教育的深化与实践[J].数字通信世界,2025,(01):235-237.
- 张晓明,李若萌,李威.智慧教育平台网络安全解决方案分析[J].中国信息界,2024,(08):180-182.
- 王欢.移动互联网时代高校网络安全教育的困境与路径[J].山西青年,2024,(10):181-183.
- 吴秀丽,张志阳,金承勇.网络安全综合学习平台设计与实现[J].福建电脑,2023,39(08):76-80.DOI:10.16707/j.cnki.fjpc.2023.08.017.
- 王冬冬.基于Django框架的Python课程在线教育平台设计[J].信息与电脑(理论版),2023,35(12):242-244.
- 郭鹤楠.基于Django和Python技术的网站设计与实现[J].数字通信世界,2023,(06):60-62.
- 韦平安.基于Django的网络学习平台的开发与应用[J].山西电子技术,2023,(02):71-73.
- Khan ,Ahmed M,Merabet , et al.Game-based learning platform to enhance cybersecurity education[J].Education and Information Technologies,2022,27(4):1-25.
- Mohamed R ,Kaiqi X ,Jing L .Leveraging a cloud‐based testbed and software‐defined networking for cybersecurity and networking education[J].Engineering Reports,2021,3(10):
- Giannakas ,Papasalouros ,Kambourakis , et al.A comprehensive cybersecurity learning platform for elementary education[J].Information Security Journal: A Global Perspective,2019,28(3):81-106.
点赞+收藏+关注 → 私信领取本源代码、数据库

GitCode 天启AI是一款由 GitCode 团队打造的智能助手,基于先进的LLM(大语言模型)与多智能体 Agent 技术构建,致力于为用户提供高效、智能、多模态的创作与开发支持。它不仅支持自然语言对话,还具备处理文件、生成 PPT、撰写分析报告、开发 Web 应用等多项能力,真正做到“一句话,让 Al帮你完成复杂任务”。
更多推荐
所有评论(0)