【机器学习】决策树
在机器学习中,有一种与神经网络并行的非参数化模型——决策树模型及其变种。顾名思义,决策树采用了与树类似的结构。现实中的树是根在下、从下往上生长的,决策树却是根在上,从上往下生长的。但是,两者都有根、枝干的分叉与叶子。本文详细介绍了决策树的构造、ID3算法、C4.5的算法、CART算法以及C4.5算法的详细步骤用Python代码实现。
目录
六、动手实现决策树C4.5的算法详解步骤以及Python完整代码实现
一、引言
在机器学习中,有一种与神经网络并行的非参数化模型——决策树模型及其变种。顾名思义,决策树采用了与树类似的结构。现实中的树是根在下、从下往上生长的,决策树却是根在上,从上往下生长的。但是,两者都有根、枝干的分叉与叶子。在决策树中,最上面的节点称为根节点,最下面没有分叉的节点称为叶节点。其中,根节点和内部节点都有一些边指向其他节点,这些被指向的节点就称为它的子节点。叶节点是树的最末端,没有指向其他根节点的边,而除根结点之外,每个内部节点和叶节点都有唯一的节点指向它,该节点称为其父节点。本文详细介绍了决策树的构造、ID3算法、C4.5的算法、CART算法以及C4.5算法的详细步骤用Python代码实现。
二、决策树的构造
1. 决策树的基本概念
决策树是一种非参数监督学习算法,通过将数据集按照特定特征递归地分裂为较小的子集,从而构建出一个预测模型。决策树结构包括:
根节点:代表整个数据集。
内部节点:表示对特征的测试。
分支:表示测试的输出。
叶节点:代表最终的分类结果或回归值。
决策树的构造本质上是一个特征选择和递归划分的过程,目标是构建一个能够最大程度反映数据内在规律的树结构。
2. 决策树构造的基本框架
决策树构造通常遵循"自顶向下、递归分治"的策略,基本算法框架为:
函数 BuildDecisionTree(数据集D, 特征集A, 选择标准criterion):
创建节点N
# 终止条件
如果 满足终止条件:
将N标记为叶节点,赋予类别/值
返回N
# 选择最优特征
根据criterion选择最优特征A_best和分割点
# 根据特征分割数据
将数据集D根据A_best分割为若干子集{D_1, D_2, ..., D_v}
# 递归构建子树
对于每个子集D_j:
子树j = BuildDecisionTree(D_j, A - {A_best}, criterion)
将子树j连接到节点N
返回N
终止条件通常包括:
(1)节点中的样本全部属于同一类别。
(2)特征集为空或样本在所有特征上取值相同。
(3)节点中的样本数小于预定阈值。
三、决策树的ID3算法
1. ID3算法基本原理
ID3(Iterative Dichotomiser 3)算法是由Ross Quinlan在1986年提出的决策树生成算法,它通过信息论中的熵(entropy)和信息增益(information gain)来构建决策树。ID3算法的核心思想是:在每一步构建决策树的过程中,选择能够最大化信息增益的特征作为当前节点的分裂特征。
2. 信息论基础
2.1 熵(Entropy)
熵是信息论中表示随机变量不确定性的度量。对于一个随机变量,其熵
定义为:
其中:是随机变量
可能的取值。
是
出现的概率。
是
可能取值的数量。
表示以2为底的对数。
在决策树中,对于一个数据集,假设类别标签有
个可能取值,第
个类别的样本数为
,则数据集
的熵为:
其中表示类别
在数据集中的占比。
2.2 条件熵(Conditional Entropy)
条件熵表示在已知随机变量
的条件下,随机变量
的不确定性:
其中:是随机变量
的可能取值。
是
出现的概率。
是在
条件下
的熵。
在决策树中,对于特征,数据集
可以划分为
个子集
,则条件熵
为:
其中表示子集
在数据集中的占比。
2.3 信息增益(Information Gain)
信息增益表示由于使用特征$A$划分数据集而导致的不确定性减少量:
用公式展开为:
其中:表示子集
中属于类别$k$的样本数。
3. ID3算法完整流程
ID3算法采用自顶向下的贪心方法构建决策树,其完整的数学流程如下:
(1)计算当前数据集的熵:
(2) 对每个未使用的特征:
计算条件熵:
计算信息增益:
(3)选择信息增益最大的特征作为当前节点的分裂特征:
(4) 对的每个可能取值
:
(1)创建子节点,并将满足的样本分配给该子节点。
(2)如果子节点的样本都属于同一类别,则将子节点标记为叶节点,类别为
,
否则,对子节点递归执行步骤1-4。
4. ID3算法的特点与局限性
4.1 特点:
(1)使用信息增益作为特征选择的度量,倾向于选择具有较大信息增益的特征。
(2)构建的决策树通常较为平衡。
(3)计算简单,易于实现。
4.2 局限性:
(1)偏向多值特征:ID3算法中的信息增益度量会偏向于选择取值较多的特征。例如,对于一个唯(2)一标识符特征(如ID),其信息增益会非常高,但对分类几乎没有泛化能力。
(3)无法处理连续值特征:ID3算法只能处理离散值特征,需要对连续值特征进行离散化处理。
(4)无法处理缺失值:没有内置处理缺失值的机制。
(5)容易过拟合:没有剪枝策略,容易生成过于复杂的树。
(6)无法处理不平衡数据:对于类别不平衡的数据集,ID3算法可能会偏向于主要类别。
5. ID3算法的数学推导
ID3算法的关键是选择最优特征,这是通过最大化信息增益实现的。以下是这一过程的数学推导:
假设特征将数据集
分割成
个子集
,这些子集的熵可分别计算为:
其中是子集
中属于类别
的样本数量。
条件熵是这些子集熵的加权平均:
用具体公式表示为:
而信息增益是原始熵与条件熵的差值:
展开后:
6. ID3算法伪代码
函数 ID3(数据集D, 特征集A, 阈值ε):
创建节点N
# 如果数据集D中所有样本属于同一类别C_k
如果 D中样本都属于类别C_k:
将N标记为C_k类叶节点
返回N
# 如果特征集A为空或数据集D中样本在A上取值相同
如果 A为空 或 D中样本在A上取值相同:
将N标记为叶节点,类别为D中样本数最多的类
返回N
# 否则,计算A中各特征的信息增益,选择信息增益最大的特征A_best
对于每个特征A_i in A:
计算信息增益Gain(D, A_i)
A_best = 信息增益最大的特征
# 如果最大信息增益小于阈值ε,则不再划分
如果 Gain(D, A_best) < ε:
将N标记为叶节点,类别为D中样本数最多的类
返回N
# 以A_best为划分特征构建子树
将N标记为特征A_best对应的内部节点
对于A_best的每个可能取值a_j:
D_j = 满足A_best=a_j的D的子集
如果 D_j为空:
创建叶节点N_j,类别为D中样本数最多的类
将N_j作为N的子节点
否则:
调用ID3(D_j, A - {A_best}, ε)获得子树
将子树作为N的子节点
返回N
7. 一个简单的ID3算法示例
假设我们有一个关于是否去钓鱼的决策问题,特征包括:天气(Outlook)、温度(Temperature)、湿度(Humidity)和刮风(Windy),类别为是否去钓鱼(PlayTennis)。
假设部分数据如下:
ID3算法会计算每个特征的信息增益。首先计算整个数据集的熵,然后计算各个特征的条件熵
,最后得到信息增益
。
比如,对于特征"Outlook",它有三个可能取值:Sunny、Overcast和Rain,会将数据集分成三个子集。计算这三个子集对应的熵,再根据子集大小计算加权平均,得到条件熵。
最终,ID3算法会选择信息增益最大的特征作为根节点,在这个例子中很可能是"Outlook"。然后对每个子集递归应用这个过程,直到所有叶节点都包含单一类别的样本或满足其他停止条件。
这种基于信息熵的方法使得ID3算法能够有效地学习决策规则,为后续的C4.5、C5.0和CART等更先进的决策树算法奠定了基础。
四、决策树的C4.5算法
1. C4.5算法简介
C4.5算法是Ross Quinlan在1993年提出的决策树算法,是ID3算法的改进版本。C4.5解决了ID3的诸多限制,包括处理连续特征、处理缺失值以及通过后剪枝避免过拟合等问题,使其成为机器学习领域最经典的决策树算法之一。
2. C4.5的核心改进
2.1 信息增益率
ID3使用信息增益作为特征选择标准,但这会偏向于取值较多的特征。C4.5引入了信息增益率来解决这个问题:
其中分裂信息(Split Information)计算公式为:
分裂信息实际上度量了特征A对数据集D的分裂程度。对于取值较多的特征,其分裂信息通常较大,通过除以分裂信息,信息增益率能平衡对多值特征的偏好。
2.2 连续特征处理
C4.5能处理连续型特征,其方法是:
(1) 对特征A的所有不同取值进行排序:。
(2) 找出所有可能的分裂点:,共有m-1个。
(3) 对每个候选分裂点t,根据A≤t与A>t将数据集分成两部分。
(4) 计算每个分裂点t的信息增益率。
(5) 选择信息增益率最高的分裂点作为最终分裂方式。
数学表达式为:
2.3 缺失值处理
C4.5能够优雅地处理缺失值,主要通过两种机制:
(1) 计算信息增益时:只使用在特征A上有值的样本子集计算信息增益,然后按比例放大:
(2) 分类决策时:当遇到缺失特征值的样本时,C4.5将其权重按照各分支样本比例分配到所有子节点,实现概率性分类。
2.4 后剪枝策略
C4.5采用基于错误率的后剪枝(Error-Based Pruning),其步骤为:
(1)先构建完整决策树。
(2)自下而上遍历非叶节点。
(3) 计算每个节点的悲观错误率估计。
对于包含N个样本的节点,其中E个样本分类错误,悲观错误率估计为:
其中z通常取0.69,对应75%的置信度。如果将节点替换为叶节点后悲观错误率不增加,则进行剪枝。
3. C4.5算法完整流程
3.1 构建决策树的伪代码:
函数 BuildC45Tree(数据集D, 特征集A):
创建节点N
# 终止条件
如果 D中样本都属于同一类别C:
将N标记为C类叶节点
返回N
如果 A为空 或 D中样本在A上取值相同:
将N标记为叶节点,类别为D中样本最多的类
返回N
# 计算特征的信息增益率
对于每个特征A_i in A:
如果A_i是离散特征:
计算GainRatio(D, A_i)
如果A_i是连续特征:
找出最佳分裂点t_i
计算GainRatio(D, A_i, t_i)
选择信息增益率最大的特征A_best作为划分特征
将N标记为特征A_best对应的内部节点
如果A_best是离散特征:
对于A_best的每个可能取值a_j:
创建一个分支
D_j = 满足A_best=a_j的样本子集
如果D_j为空:
创建叶节点,类别为D中样本最多的类
否则:
递归调用BuildC45Tree(D_j, A - {A_best})
如果A_best是连续特征:
找到最佳分裂点t_best
创建两个分支A_best ≤ t_best和A_best > t_best
D_left = 满足A_best ≤ t_best的样本子集
D_right = 满足A_best > t_best的样本子集
递归调用BuildC45Tree(D_left, A)
递归调用BuildC45Tree(D_right, A)
返回N
3.2 后剪枝伪代码:
函数 Prune(节点N, 数据集D):
如果N是叶节点:
返回N的悲观错误率估计
记录N的子树错误率估计 = 0
对于N的每个子节点N_i和对应的数据子集D_i:
子树错误率估计 += Prune(N_i, D_i)
计算N作为叶节点的悲观错误率估计
如果(N作为叶节点的错误率) ≤ 子树错误率估计:
将N转换为叶节点,类别为D中样本最多的类
返回N作为叶节点的错误率
否则:
返回子树错误率估计
4. C4.5的数学基础
4.1 信息熵
信息熵衡量数据集的纯度:
其中是第k类样本的比例。
4.2 条件熵
条件熵衡量已知特征A的情况下数据集D的不确定性:
4.3 信息增益
信息增益表示使用特征A划分带来的不确定性减少:
展开公式:
其中表示特征A取第j个值且类别为k的样本数量。
5. C4.5的优缺点
5.1 优点
(1)使用信息增益率克服了ID3偏向多值特征的缺点。
(2)能够处理连续特征。
(3)能够处理缺失值。
(4)使用后剪枝避免过拟合。
(5)生成的规则易于理解和解释。
5.2 缺点
(1)对噪声敏感。
(2)对于不平衡数据集效果欠佳。
(3)小数据集上容易过拟合。
(4)无法处理回归问题。
(5)构建的树可能不是全局最优。
6. C4.5与ID3决策树的比较
C4.5算法是决策树算法发展的重要里程碑,为后续的C5.0和随机森林等算法奠定了基础。虽然现在有更先进的算法,C4.5依然是理解决策树的重要起点,其核心思想在当代机器学习中。
五、决策树的CART算法
1. 基本原理与特点
CART(Classification And Regression Trees)是由Leo Breiman等人在1984年提出的决策树算法,具有以下关键特点:
(1)双重功能:既可用于分类问题,也可用于回归问题。
(2)二叉树结构:每个内部节点总是将数据分成两个子集,形成二叉树。
(3)分裂准则:分类问题使用基尼指数(Gini Index),回归问题使用均方误差(MSE)。
(4)剪枝方法:使用代价复杂度剪枝(Cost-Complexity Pruning)。
(5)处理能力:可同时处理连续特征和离散特征,能处理缺失值。
CART算法不使用信息增益或增益率,而是追求"最纯"的子节点,通过递归二分来构建决策树。
2. CART分类树
2.1 基尼指数(Gini Index)
CART分类树使用基尼指数来衡量数据集的不纯度。基尼指数反映了从数据集中随机抽取两个样本,其类别标签不一致的概率。
数据集D的基尼指数定义为:
其中:
K是类别的数量
是第k类样本的数量
是数据集的总样本数
基尼指数越小,数据集的纯度越高。当所有样本都属于同一类别时,。
2.2 特征选择与分裂
CART采用二分法,对于每个特征A:
(1) 对于离散特征:考虑所有可能的二分方案,将特征的取值集合分成两个互斥的子集。
(2 )对于连续特征:考虑所有可能的分裂点,将数据分成 ≤ 和 > 两部分。
对于特征A和分裂点s,分裂后的基尼指数计算为:
其中:是满足分裂条件的样本集合(如A ≤ s或A ∈ subset1)
是不满足分裂条件的样本集合(如A > s或A ∈ subset2)
CART选择使分裂后基尼指数最小的特征和分裂点作为最优分裂方案:
2.3 二元分类的简化计算
对于二元分类问题,若正类样本比例为p,则基尼指数可简化为:
3. CART回归树
3.1 平方误差最小化原则
CART回归树采用平方误差最小化准则,目标是使划分后的数据子集中的样本输出值波动最小。
对于数据集D,其输出值的方差可表示为:
其中:是第i个样本的真实输出值
是数据集D中所有样本输出值的平均值
3.2 特征选择与分裂
对于特征A和分裂点s,分裂后的平方误差为:
或者等价地表示为:
其中:是子集
中样本输出值的平均值
是子集
中样本输出值的平均值
CART选择使平方误差最小的特征和分裂点:
3.3 预测值确定
对于回归树的每个叶节点t,其预测值$c_t$为该节点所有样本输出值的平均:
4. 特征处理方法
4.1 连续特征处理
对于连续特征A:
(1) 对特征值排序:。
(2) 考虑所有可能的分裂点:,共m-1个。
(3).对每个分裂点计算分裂后的基尼指数或MSE。
(4) 选择最优分裂点。
4.2 离散特征处理
对于取值集合为的离散特征A:
(1) 考虑所有可能的二分方案,将取值集合分成两个互斥的子集和
。
(2) 共有种可能的二分方案。
(3) 对每种方案计算分裂后的基尼指数或MSE。
(4) 选择最优二分方案。
4.3 缺失值处理
CART使用替代分裂(Surrogate Split)处理缺失值:
(1) 对于最优分裂特征上有缺失值的样本,寻找与最优分裂规则最相关的替代特征。
(2) 计算每个替代特征的相关性,选择相关性最高的特征。
(3) 使用替代特征对缺失值样本进行分类。
5. 代价复杂度剪枝(Cost-Complexity Pruning)
CART使用代价复杂度剪枝算法,其步骤为:
5.1 定义代价复杂度函数
对于子树,定义代价复杂度为:
其中:是子树
的预测误差(分类树为错误率,回归树为均方误差)。
是子树
的叶节点数量。
是复杂度参数,控制树的复杂度和拟合程度的权衡。
5.2 剪枝过程
(1)构建完整树:首先构建一个完整的决策树$T_0$,直到每个叶节点都纯净或满足停止条件
(2)生成嵌套子树序列:
从开始,计算每个内部节点的代价变化率
。
对于节点t,将其子树替换为叶节点的代价变化率为:
选择值最小的节点进行剪枝,生成新的子树。
重复此过程,直到只剩根节点,形成嵌套子树序列。
(3) 选择最优子树:
使用独立验证集或交叉验证评估每棵子树的性能
选择测试误差最小的子树作为最终模型
6. CART与ID3/C4.5的比较
7. CART的优缺点
7.1 优点
(1)灵活性:既可用于分类也可用于回归。
(2)鲁棒性:对异常值不敏感。
(3)可解释性:决策逻辑清晰直观。
(4)处理能力:可处理混合类型特征,包括连续和离散特征。
(5)缺失值处理:通过替代分裂有效处理缺失值。
(6)特征选择:可识别重要特征。
7.2 缺点
(1)不稳定性:小的数据变化可能导致树结构显著变化。
(2)局部最优:贪心算法无法保证全局最优解。
(3)偏向:倾向于选择取值较多的特征。
(4)复杂关系:难以表达复杂的特征关系。
(5)过拟合风险:需要适当的剪枝策略。
8. CART算法的实现与优化技巧
8.1 停止条件设置
合理设置停止条件避免过拟合:
(1)节点样本数小于阈值。
(2)节点深度达到最大值。
(3)分裂后不纯度降低小于阈值。
(4)子节点样本数小于阈值。
8.2 参数调优
关键参数包括:
(1)最大树深度。
(2)最小样本分裂数。
(3)最小叶节点样本数。
(4)复杂度参数α。
8.3 集成方法
CART树常作为集成方法的基学习器:
(1)随机森林:构建多棵随机化的CART树。
(2)梯度提升树(GBDT):序列化构建CART树。
(3)XGBoost/LightGBM:优化的GBDT实现
8.4 特征工程
(1)处理高维特征空间。
(2)转换高基数类别特征。
(3)创建交互特征增强表达能力。
9. 实际应用中的CART
CART因其灵活性和可解释性在许多领域得到广泛应用:
(1)金融:信用评估、风险分析。
(2)医疗:疾病诊断、预后预测。
(3)营销:客户细分、购买行为预测。
(4)环境:污染分析、生态系统建模。
使用CART的最佳实践包括:
(1)适当的预处理,包括处理异常值和缺失值。
(2)通过交叉验证仔细调节参数。
(3)结合正则化技术控制过拟合。
(4)考虑与其他模型集成以提高性能。
CART算法作为决策树家族中的重要成员,通过其独特的二分法和代价复杂度剪枝,以及处理分类与回归问题的能力,在机器学习领域占据重要地位,同时也为随机森林和梯度提升等现代集成方法奠定了基础。
六、动手实现决策树C4.5的算法详解步骤以及Python完整代码实现
(一)随机生成数据集到指定的文件中。
(二)决策树C4.5的算法步骤。
1. 算法基本原理
C4.5算法是ID3算法的改进版,主要通过引入信息增益率来解决ID3倾向于选择取值较多的特征的问题。该实现包含以下关键部分:
1.1 数据预处理
处理连续特征通过等分为10个区间
将离散特征转换为整数编码
将缺失值用-1表示
实现80/20的训练集和测试集划分
1.2 核心数据结构
Node`类用于表示决策树的节点
DecisionTree`类实现决策树的构建和预测
2. 信息论基础与数学公式
2.1 信息熵(Entropy)
信息熵表示随机变量不确定性的度量:
Python代码实现:
def entropy(self, Y):
cnt = np.unique(Y, return_counts=True)[1] # 统计每个类别出现的次数
N = len(Y)
ent = -np.sum([self.aloga(Ni / N) for Ni in cnt])
return ent
2.2 信息增益(Information Gain)
信息增益表示使用特征X对数据集划分前后熵的减少量:
其中H(Y|X)是条件熵,计算公式为:
Python代码实现:
def info_gain(self, X, Y, feat, val):
# 划分前的熵
N = len(Y)
if N == 0:
return 0
HX = self.entropy(Y)
HXY = 0 # H(X|Y)
# 分别计算H(X|X_F<=val)和H(X|X_F>val)
Y_l = Y[X[:, feat] <= val]
HXY += len(Y_l) / len(Y) * self.entropy(Y_l)
Y_r = Y[X[:, feat] > val]
HXY += len(Y_r) / len(Y) * self.entropy(Y_r)
return HX - HXY
2.3 特征的分裂信息(Split Information)
特征X的分裂信息衡量了特征X本身的熵:
Python代码实现:
def entropy_YX(self, X, Y, feat, val):
HYX = 0
N = len(Y)
if N == 0:
return 0
Y_l = Y[X[:, feat] <= val]
HYX += -self.aloga(len(Y_l) / N)
Y_r = Y[X[:, feat] > val]
HYX += -self.aloga(len(Y_r) / N)
return HYX
2.4 信息增益率(Information Gain Ratio)
信息增益率是C4.5算法的核心,它将信息增益除以分裂信息,避免偏向多值特征:
Python代码实现:
def info_gain_ratio(self, X, Y, feat, val):
IG = self.info_gain(X, Y, feat, val)
HYX = self.entropy_YX(X, Y, feat, val)
if HYX == 0:
return 0
return IG / HYX
3. 决策树构建过程
3.1 ID3核心算法
决策树构建采用递归方式,遵循以下步骤:
1. 若当前节点样本属于同一类别,将节点标记为叶节点
2. 计算每个特征的每个可能分裂点的信息增益率
3. 选择信息增益率最大的特征和分裂点
4. 计算分裂前后的代价函数变化
5. 若分裂能降低代价,则执行分裂;否则将节点标记为叶节点
3.2 代价函数和正则化
代码中引入了代价函数来控制树的生长:
分裂后的代价为:
其中λ是正则化参数,控制树的复杂度。只有当分裂后的代价小于当前代价时才执行分裂:
Python代码如下:
# 当前代价
cur_cost = len(Y) * self.entropy(Y) + self.lbd
# 分裂后的代价
new_cost = len(new_Y_l) * self.entropy(new_Y_l) + len(new_Y_r) * self.entropy(new_Y_r) + 2 * self.lbd
4. 模型评估与新增功能
4.1 混淆矩阵
对二分类问题,混淆矩阵包含:
真正例(TP):实际为正,预测为正
真负例(TN):实际为负,预测为负
假正例(FP):实际为负,预测为正
假负例(FN):实际为正,预测为负
基于混淆矩阵计算:
精确率:
召回率:
F1分数:
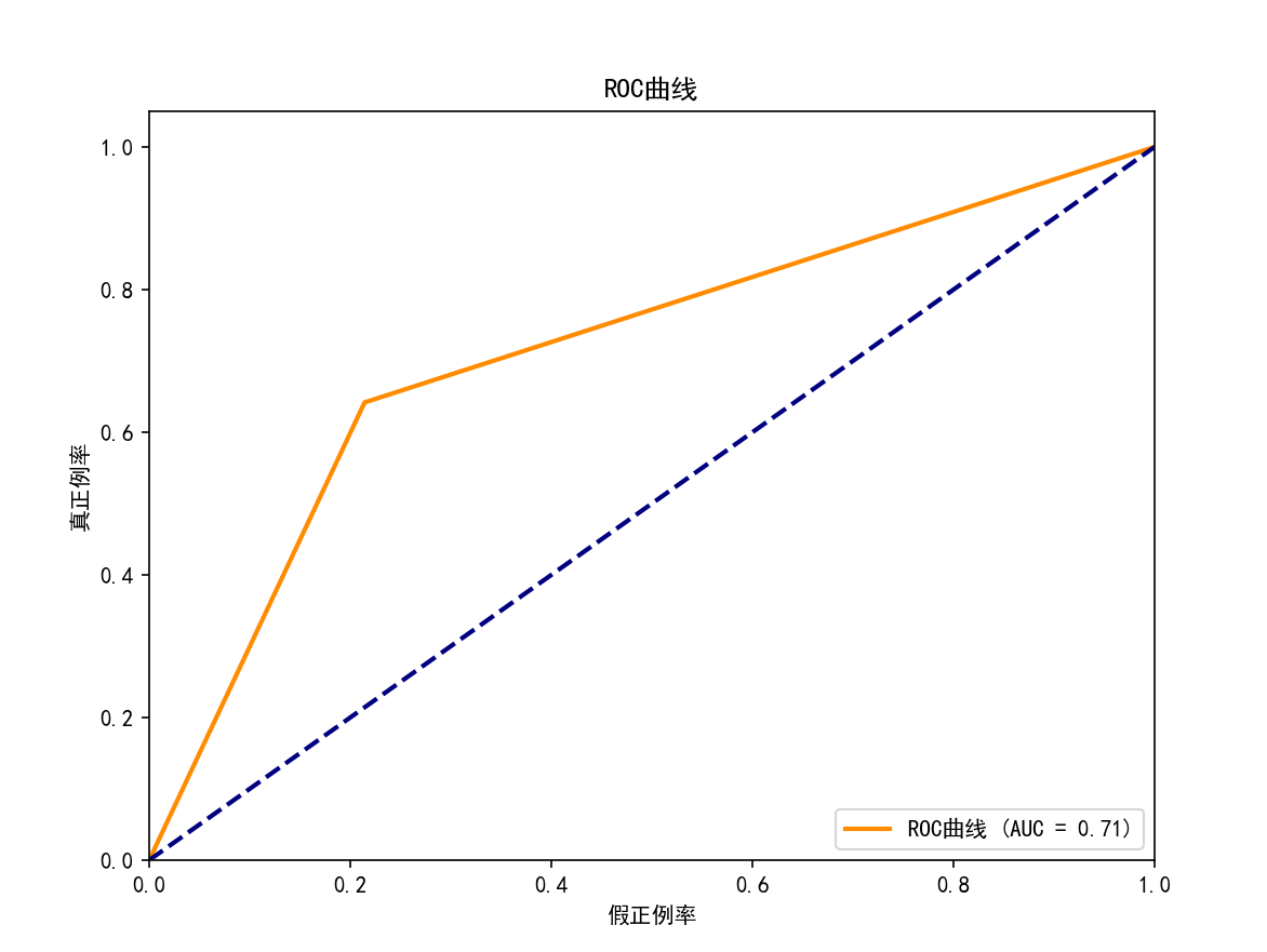
4.2 ROC曲线与AUC
ROC曲线绘制了不同阈值下真正例率(TPR)和假正例率(FPR)的关系:
TPR = TP/(TP+FN)(真正例率=召回率)
FPR = FP/(FP+TN)(假正例率)
AUC是ROC曲线下的面积,反映了模型的整体性能。
4.3 特征重要性
特征重要性通过特征在树中被选为分裂点的频率来衡量:
Python代码如下:
def feature_importance(self):
importance = np.zeros(len(feat_names))
self._calc_importance(self.root, importance)
# 归一化
if np.sum(importance) > 0:
importance = importance / np.sum(importance)
return importance
4.4 交叉验证
K折交叉验证通过将数据分成K份,每次使用K-1份训练、1份测试,最后取平均结果:
Python代码如下:
def cross_validation(X, Y, feat_ranges, k=5, lbd=1.0):
from sklearn.model_selection import KFold
kf = KFold(n_splits=k, shuffle=True, random_state=42)
accuracies = []
# ...训练和评估过程
return np.mean(accuracies)
4.5 学习曲线
学习曲线通过绘制不同训练集大小下的训练和测试准确率,反映模型随样本量变化的性能:
Python代码如下:
def plot_learning_curve(X, Y, feat_ranges, test_size=0.2, max_samples=None, step=50):
# ...训练不同大小样本集的模型
plt.plot(train_sizes, train_scores, 'o-', color='r', label='训练集准确率')
plt.plot(train_sizes, test_scores, 'o-', color='g', label='测试集准确率')
5. 实现特点与创新
5.1 二分划分策略
本实现采用二分划分策略处理连续特征和离散特征:对于特征X和分裂值val,将数据分成X<=val和X>val两部分。
5.2 预剪枝技术
通过代价函数实现预剪枝,避免过拟合:
Python代码如下:
if new_cost <= cur_cost:
# 执行分裂...
else:
# 将当前节点标记为叶节点
功能扩展
添加了多种评估和分析功能:
特征重要性分析
混淆矩阵和精确率/召回率计算
ROC曲线和AUC计算
交叉验证
学习曲线
决策树可视化
模型保存和加载
6. 与sklearn的比较
代码中实现了与sklearn的决策树算法的比较:
sklearn的entropy criterion对应C4.5算法
sklearn的gini criterion对应CART算法
通过比较准确率,可以评估自定义实现的性能。
(三)Python完整代码实现
随机生成数据集的完整Python代码如下:
import pandas as pd
import numpy as np
import os
# 创建目录(如果不存在)
if not os.path.exists('titanic'):
os.makedirs('titanic')
# 设置随机种子,确保结果可复现
np.random.seed(42)
# 生成样本数量
n_samples = 891 # 与原始Titanic数据集大小相同
# 生成乘客ID
passenger_ids = np.arange(1, n_samples + 1)
# 生成存活情况(0表示未存活,1表示存活)
# 实际Titanic数据集中大约38%的乘客存活
survived = np.random.binomial(1, 0.38, n_samples)
# 生成船票等级(1, 2, 3)
# 设置各等级的概率
pclass_probs = [0.24, 0.21, 0.55] # 一等舱、二等舱、三等舱的比例
pclass = np.random.choice([1, 2, 3], size=n_samples, p=pclass_probs)
# 生成性别数据
# 设置男性的概率为0.65
sex = np.random.choice(['male', 'female'], size=n_samples, p=[0.65, 0.35])
# 生成年龄数据
# 年龄分布在0.5到80之间,平均为30岁,有一些缺失值
age = np.random.normal(30, 14, n_samples)
age = np.clip(age, 0.5, 80)
# 大约20%的年龄数据缺失
missing_age_indices = np.random.choice(range(n_samples), size=int(n_samples * 0.2), replace=False)
age[missing_age_indices] = np.nan
# 生成兄弟姐妹/配偶人数
sibsp_probs = [0.68, 0.24, 0.06, 0.01, 0.005, 0.005] # 0, 1, 2, 3, 4, 5+的比例
sibsp = np.random.choice(range(6), size=n_samples, p=sibsp_probs)
# 生成父母/子女人数
parch_probs = [0.76, 0.12, 0.08, 0.02, 0.01, 0.01] # 0, 1, 2, 3, 4, 5+的比例
parch = np.random.choice(range(6), size=n_samples, p=parch_probs)
# 生成票价数据
# 票价基于船票等级,一等舱最贵,三等舱最便宜
fare = np.zeros(n_samples)
fare[pclass == 1] = np.random.uniform(30, 512, sum(pclass == 1))
fare[pclass == 2] = np.random.uniform(10, 73, sum(pclass == 2))
fare[pclass == 3] = np.random.uniform(0, 69, sum(pclass == 3))
# 生成船舱号
cabins = []
deck_letters = ['A', 'B', 'C', 'D', 'E', 'F', 'G']
for p in pclass:
if np.random.random() > 0.77: # 约77%的船舱数据缺失
cabins.append(np.nan)
else:
# 一等舱客户更可能在上层甲板
if p == 1:
deck = np.random.choice(deck_letters[:3])
elif p == 2:
deck = np.random.choice(deck_letters[2:5])
else:
deck = np.random.choice(deck_letters[4:])
cabin_number = np.random.randint(1, 140)
cabins.append(f"{deck}{cabin_number}")
# 生成登船港口
embarked_probs = [0.72, 0.08, 0.18, 0.02] # S, C, Q, 缺失值的比例
embarked = np.random.choice(['S', 'C', 'Q', np.nan], size=n_samples, p=embarked_probs)
# 生成姓名
first_names_male = ['John', 'William', 'James', 'Charles', 'George', 'Thomas', 'Henry', 'Edward', 'Joseph', 'Richard']
first_names_female = ['Mary', 'Anna', 'Elizabeth', 'Margaret', 'Emma', 'Florence', 'Sarah', 'Alice', 'Martha', 'Ellen']
last_names = ['Smith', 'Johnson', 'Williams', 'Brown', 'Jones', 'Miller', 'Davis', 'Wilson', 'Anderson', 'Taylor',
'Moore', 'Thomas', 'Jackson', 'White', 'Harris', 'Martin', 'Thompson', 'Young', 'Walker', 'Allen']
names = []
for i in range(n_samples):
last_name = np.random.choice(last_names)
if sex[i] == 'male':
first_name = np.random.choice(first_names_male)
# 添加一些敬称
title = np.random.choice(['Mr.', 'Dr.', 'Rev.', 'Major.', 'Col.', 'Capt.'],
p=[0.9, 0.02, 0.02, 0.02, 0.02, 0.02])
else:
first_name = np.random.choice(first_names_female)
# 添加一些敬称
title = np.random.choice(['Mrs.', 'Miss.', 'Ms.', 'Dr.', 'Lady.'], p=[0.5, 0.4, 0.05, 0.03, 0.02])
names.append(f"{last_name}, {title} {first_name}")
# 生成船票号
tickets = []
for i in range(n_samples):
ticket_format = np.random.choice([1, 2, 3], p=[0.3, 0.5, 0.2])
if ticket_format == 1:
# 简单数字格式
ticket = str(np.random.randint(10000, 400000))
elif ticket_format == 2:
# 带前缀的格式
prefix = np.random.choice(['PC', 'CA', 'A/5', 'SOTON', 'STON', 'PP', 'SC', 'WC', 'FC'])
ticket = f"{prefix} {np.random.randint(1000, 100000)}"
else:
# 带连字符的格式
ticket = f"{np.random.randint(10000, 400000)}"
tickets.append(ticket)
# 创建数据集
titanic_data = pd.DataFrame({
'PassengerId': passenger_ids,
'Survived': survived,
'Pclass': pclass,
'Name': names,
'Sex': sex,
'Age': age,
'SibSp': sibsp,
'Parch': parch,
'Ticket': tickets,
'Fare': fare,
'Cabin': cabins,
'Embarked': embarked
})
# 更新存活率以反映现实数据中的模式
# 例如:男性生存率低,女性生存率高;一等舱乘客生存率高于三等舱
# 身份:女性和孩子优先
titanic_data.loc[(titanic_data['Sex'] == 'female') | (titanic_data['Age'] < 14), 'Survived'] = np.random.binomial(1,
0.7,
sum((
titanic_data[
'Sex'] == 'female') | (
titanic_data[
'Age'] < 14)))
# 船票等级影响:一等舱生存率高
titanic_data.loc[titanic_data['Pclass'] == 1, 'Survived'] = np.random.binomial(1, 0.6, sum(titanic_data['Pclass'] == 1))
# 年龄影响:老人生存率低
titanic_data.loc[titanic_data['Age'] > 60, 'Survived'] = np.random.binomial(1, 0.25, sum(titanic_data['Age'] > 60))
# 男性生存率低
titanic_data.loc[titanic_data['Sex'] == 'male', 'Survived'] = np.random.binomial(1, 0.2,
sum(titanic_data['Sex'] == 'male'))
# 保存到CSV文件
titanic_data.to_csv('titanic/train.csv', index=False)
print("数据已成功生成并保存到 titanic/train.csv")
print(f"生成的数据包含 {n_samples} 条记录")
决策树C4.5算法的完整Python代码如下:
print('动手实现C4.5算法的决策树')
import numpy as np
import matplotlib.pyplot as plt
import pandas as pd
# 读取数据
data = pd.read_csv('titanic/train.csv')
# 查看具体信息和前五行具体内容,其中NaN代表数据缺失
print(data.info())
print(data[:5])
# 删去编号、姓名、船票编号3列
data.drop(columns=['PassengerId', 'Name', 'Ticket'], inplace=True)
feat_ranges = {}
cont_feat = ['Age', 'Fare'] # 连续特征
bins = 10 # 分类点数
for feat in cont_feat:
# 数据集中存在缺省值nan,需要用np.nanmin和np.nanmax
min_val = np.nanmin(data[feat])
max_val = np.nanmax(data[feat])
feat_ranges[feat] = np.linspace(min_val, max_val, bins).tolist()
print(feat, ': ') # 查看分类点
for spt in feat_ranges[feat]:
print(f'{spt:.4f}')
# 只有有限取值的离散特征
cat_feat = ['Sex', 'Pclass', 'SibSp', 'Parch', 'Cabin', 'Embarked']
for feat in cat_feat:
data[feat] = data[feat].astype('category') # 数据格式转为分类格式
print(f'{feat}: {data[feat].cat.categories}') # 查看类别
data[feat] = data[feat].cat.codes.to_list() # 将类别按顺序转换为整数
ranges = list(set(data[feat]))
ranges.sort()
feat_ranges[feat] = ranges
# 将所有缺省值替换为-1
data.fillna(-1, inplace=True)
for feat in feat_ranges.keys():
feat_ranges[feat] = [-1] + feat_ranges[feat]
# 划分训练集与测试集
np.random.seed(0)
feat_names = data.columns[1:]
label_name = data.columns[0]
# 重排下标之后,按新的下标索引数据
data = data.reindex(np.random.permutation(data.index))
ratio = 0.8
split = int(ratio * len(data))
train_x = data[:split].drop(columns=['Survived']).to_numpy()
train_y = data['Survived'][:split].to_numpy()
test_x = data[split:].drop(columns=['Survived']).to_numpy()
test_y = data['Survived'][split:].to_numpy()
print('训练集大小:', len(train_x))
print('测试集大小:', len(test_x))
print('特征数:', train_x.shape[1])
# 定义结点类
class Node:
def __init__(self):
# 内部结点的feat表示用来分类的特征编号,其数字与数据中的顺序对应
# 叶结点的feat表示该结点的分类结果
self.feat = None
# 分类值列表,表示按照其中的值向子结点分类
self.split = None
# 子结点列表,叶结点的child为空
self.child = []
# 定义决策树
class DecisionTree:
def __init__(self, X, Y, feat_ranges, lbd):
self.root = Node()
self.X = X
self.Y = Y
self.feat_ranges = feat_ranges # 特征取值范围
self.lbd = lbd # 正则化约束强度
self.eps = 1e-8 # 防止数学错误log(0)和除以0
self.T = 0 # 记录叶结点个数
self.ID3(self.root, self.X, self.Y)
# 工具函数,计算 a * log a
def aloga(self, a):
return a * np.log2(a + self.eps)
# 计算某个子数据集的熵
def entropy(self, Y):
cnt = np.unique(Y, return_counts=True)[1] # 统计每个类别出现的次数
N = len(Y)
ent = -np.sum([self.aloga(Ni / N) for Ni in cnt])
return ent
# 计算用feat <= val划分数据集的信息增益
def info_gain(self, X, Y, feat, val):
# 划分前的熵
N = len(Y)
if N == 0:
return 0
HX = self.entropy(Y)
HXY = 0 # H(X|Y)
# 分别计算H(X|X_F<=val)和H(X|X_F>val)
Y_l = Y[X[:, feat] <= val]
HXY += len(Y_l) / len(Y) * self.entropy(Y_l)
Y_r = Y[X[:, feat] > val]
HXY += len(Y_r) / len(Y) * self.entropy(Y_r)
return HX - HXY
# 计算特征feat <= val本身的复杂度H_Y(X)
def entropy_YX(self, X, Y, feat, val):
HYX = 0
N = len(Y)
if N == 0:
return 0
Y_l = Y[X[:, feat] <= val]
HYX += -self.aloga(len(Y_l) / N)
Y_r = Y[X[:, feat] > val]
HYX += -self.aloga(len(Y_r) / N)
return HYX
# 计算用feat <= val划分数据集的信息增益率
def info_gain_ratio(self, X, Y, feat, val):
IG = self.info_gain(X, Y, feat, val)
HYX = self.entropy_YX(X, Y, feat, val)
if HYX == 0:
return 0
return IG / HYX
# 用ID3算法递归分类结点,构造决策树
def ID3(self, node, X, Y):
# 判断是否已经分类完成
if len(np.unique(Y)) == 1:
node.feat = Y[0]
self.T += 1
return
# 寻找最优分类特征和分类点
best_IGR = 0
best_feat = None
best_val = None
for feat in range(len(feat_names)):
for val in self.feat_ranges[feat_names[feat]]:
IGR = self.info_gain_ratio(X, Y, feat, val)
if IGR > best_IGR:
best_IGR = IGR
best_feat = feat
best_val = val
# 计算用best_feat <= best_val分类带来的代价函数变化.
# 由于分裂叶结点只涉及该局部,我们只需要计算分裂前后该结点的代价函数
# 当前代价
cur_cost = len(Y) * self.entropy(Y) + self.lbd
# 分裂后的代价,按best_feat的取值分类统计
# 如果best_feat为None,说明最优的信息增益率为0,
# 再分类也无法增加信息了,因此将new_cost设置为无穷大
if best_feat is None:
new_cost = np.inf
else:
new_cost = 0
X_feat = X[:, best_feat]
# 获取划分后的两部分,计算新的熵
new_Y_l = Y[X_feat <= best_val]
new_cost += len(new_Y_l) * self.entropy(new_Y_l)
new_Y_r = Y[X_feat > best_val]
new_cost += len(new_Y_r) * self.entropy(new_Y_r)
# 分裂后会有两个叶结点
new_cost += 2 * self.lbd
if new_cost <= cur_cost:
# 如果分裂后代价更小,那么执行分裂
node.feat = best_feat
node.split = best_val
l_child = Node()
l_X = X[X[:, best_feat] <= best_val]
l_Y = Y[X[:, best_feat] <= best_val]
self.ID3(l_child, l_X, l_Y)
r_child = Node()
r_X = X[X[:, best_feat] > best_val]
r_Y = Y[X[:, best_feat] > best_val]
self.ID3(r_child, r_X, r_Y)
node.child = [l_child, r_child]
else:
# 否则将当前结点上最多的类别作为该结点的类别
vals, cnt = np.unique(Y, return_counts=True)
node.feat = vals[np.argmax(cnt)]
self.T += 1
# 预测新样本的分类
def predict(self, x):
node = self.root
# 从根结点开始向下寻找,到叶结点结束
while node.split is not None:
# 判断x应该处于哪个子结点
if x[node.feat] <= node.split:
node = node.child[0]
else:
node = node.child[1]
# 到达叶结点,返回类别
return node.feat
# 计算在样本X,标签Y上的准确率
def accuracy(self, X, Y):
correct = 0
for x, y in zip(X, Y):
pred = self.predict(x)
if pred == y:
correct += 1
return correct / len(Y)
# 新增功能:计算特征重要性
def feature_importance(self):
"""计算特征重要性,根据特征在树中被选为分割点的频率"""
importance = np.zeros(len(feat_names))
self._calc_importance(self.root, importance)
# 归一化
if np.sum(importance) > 0:
importance = importance / np.sum(importance)
return importance
def _calc_importance(self, node, importance):
"""递归计算特征重要性"""
if node.split is not None:
# 只有非叶节点才有特征
importance[node.feat] += 1
for child in node.child:
self._calc_importance(child, importance)
# 新增功能:混淆矩阵计算
def confusion_matrix(self, X, Y):
"""计算混淆矩阵"""
y_pred = [self.predict(x) for x in X]
# 假设二分类问题,0为负类,1为正类
tp = sum(1 for y, pred in zip(Y, y_pred) if y == 1 and pred == 1)
tn = sum(1 for y, pred in zip(Y, y_pred) if y == 0 and pred == 0)
fp = sum(1 for y, pred in zip(Y, y_pred) if y == 0 and pred == 1)
fn = sum(1 for y, pred in zip(Y, y_pred) if y == 1 and pred == 0)
return tp, tn, fp, fn
# 新增功能:计算精确率、召回率和F1分数
def precision_recall_f1(self, X, Y):
"""计算精确率、召回率和F1分数"""
tp, tn, fp, fn = self.confusion_matrix(X, Y)
precision = tp / (tp + fp) if (tp + fp) > 0 else 0
recall = tp / (tp + fn) if (tp + fn) > 0 else 0
f1 = 2 * precision * recall / (precision + recall) if (precision + recall) > 0 else 0
return precision, recall, f1
# 新增功能:预测样本属于各个类别的概率
def predict_proba(self, x):
"""预测样本属于各个类别的概率"""
node = self.root
# 从根节点开始向下寻找,到叶节点结束
while node.split is not None:
# 判断x应该处于哪个子节点
if x[node.feat] <= node.split:
node = node.child[0]
else:
node = node.child[1]
# 到达叶节点,返回概率(简单实现,实际上可以基于叶节点中的类别分布)
return [1 - node.feat, node.feat] # 假设二分类,返回[负类概率,正类概率]
# 新增功能:计算ROC曲线和AUC值
def roc_curve(self, X, Y):
"""计算ROC曲线和AUC值"""
from sklearn.metrics import roc_curve, auc
# 获取预测的正类概率
y_proba = [self.predict_proba(x)[1] for x in X]
# 计算FPR, TPR和阈值
fpr, tpr, thresholds = roc_curve(Y, y_proba)
# 计算AUC
roc_auc = auc(fpr, tpr)
return fpr, tpr, thresholds, roc_auc
# 新增功能:保存模型到文件
def save_model(self, filename):
"""保存模型到文件"""
import pickle
with open(filename, 'wb') as f:
pickle.dump(self, f)
print(f"模型已保存到 {filename}")
# 新增功能:从文件加载模型
@classmethod
def load_model(cls, filename):
"""从文件加载模型"""
import pickle
with open(filename, 'rb') as f:
model = pickle.load(f)
print(f"模型已从 {filename} 加载")
return model
# 新增功能:可视化自定义决策树
def visualize_tree(self, feature_names, max_depth=None):
"""可视化自定义的决策树"""
def _add_node(node, parent, node_id, edge, ax, x, y, dx, depth=0):
if max_depth is not None and depth > max_depth:
return
# 节点颜色
if node.split is None:
color = 'lightblue' if node.feat == 0 else 'lightcoral'
label = f'类别: {node.feat}'
else:
color = 'lightgreen'
feature = feature_names[node.feat]
label = f'{feature} <= {node.split:.2f}'
# 绘制节点
circle = plt.Circle((x, y), 0.5, color=color, fill=True)
ax.add_patch(circle)
plt.text(x, y, label, ha='center', va='center', fontsize=8)
# 连接父节点与当前节点
if parent is not None:
ax.plot([parent[0], x], [parent[1], y], 'k-')
# 在边上添加标签
plt.text((parent[0] + x) / 2, (parent[1] + y) / 2, edge,
ha='center', va='bottom', fontsize=8)
# 递归绘制子节点
if node.split is not None:
dx = dx * 0.6 # 缩小水平间距
_add_node(node.child[0], (x, y), node_id * 2, '是', ax, x - dx, y - 1.5, dx, depth + 1)
_add_node(node.child[1], (x, y), node_id * 2 + 1, '否', ax, x + dx, y - 1.5, dx, depth + 1)
# 创建绘图
fig, ax = plt.subplots(figsize=(12, 8))
ax.set_xlim(-10, 10)
ax.set_ylim(-10, 2)
ax.axis('off')
# 从根节点开始绘制
_add_node(self.root, None, 1, '', ax, 0, 0, 5)
plt.title('自定义C4.5决策树可视化')
plt.tight_layout()
plt.savefig('custom_tree.png', dpi=300)
plt.show()
# 新增功能:交叉验证
def cross_validation(X, Y, feat_ranges, k=5, lbd=1.0):
"""执行k折交叉验证"""
from sklearn.model_selection import KFold
kf = KFold(n_splits=k, shuffle=True, random_state=42)
accuracies = []
precisions = []
recalls = []
f1s = []
for train_index, test_index in kf.split(X):
X_train, X_test = X[train_index], X[test_index]
Y_train, Y_test = Y[train_index], Y[test_index]
# 训练模型
model = DecisionTree(X_train, Y_train, feat_ranges, lbd)
# 计算准确率
acc = model.accuracy(X_test, Y_test)
accuracies.append(acc)
# 计算精确率、召回率和F1分数
precision, recall, f1 = model.precision_recall_f1(X_test, Y_test)
precisions.append(precision)
recalls.append(recall)
f1s.append(f1)
print(f"{k}折交叉验证结果:")
print(f"平均准确率: {np.mean(accuracies):.4f} ± {np.std(accuracies):.4f}")
print(f"平均精确率: {np.mean(precisions):.4f} ± {np.std(precisions):.4f}")
print(f"平均召回率: {np.mean(recalls):.4f} ± {np.std(recalls):.4f}")
print(f"平均F1分数: {np.mean(f1s):.4f} ± {np.std(f1s):.4f}")
return np.mean(accuracies)
# 新增功能:学习曲线
def plot_learning_curve(X, Y, feat_ranges, test_size=0.2, max_samples=None, step=50):
"""绘制学习曲线,展示训练样本数量与模型性能的关系"""
from sklearn.model_selection import train_test_split
X_train, X_test, Y_train, Y_test = train_test_split(
X, Y, test_size=test_size, random_state=42)
if max_samples is None:
max_samples = len(X_train)
train_sizes = np.arange(step, max_samples + 1, step)
train_scores = []
test_scores = []
for size in train_sizes:
idx = np.random.choice(len(X_train), min(size, len(X_train)), replace=False)
X_subset = X_train[idx]
Y_subset = Y_train[idx]
model = DecisionTree(X_subset, Y_subset, feat_ranges, lbd=1.0)
train_acc = model.accuracy(X_subset, Y_subset)
test_acc = model.accuracy(X_test, Y_test)
train_scores.append(train_acc)
test_scores.append(test_acc)
print(f"样本数: {size}, 训练准确率: {train_acc:.4f}, 测试准确率: {test_acc:.4f}")
plt.figure(figsize=(10, 6))
plt.plot(train_sizes, train_scores, 'o-', color='r', label='训练集准确率')
plt.plot(train_sizes, test_scores, 'o-', color='g', label='测试集准确率')
plt.xlabel('训练样本数')
plt.ylabel('准确率')
plt.title('学习曲线')
plt.legend(loc='best')
plt.grid(True)
plt.savefig('learning_curve.png', dpi=300)
plt.show()
# 训练自定义的决策树模型
print("训练自定义的C4.5决策树...")
DT = DecisionTree(train_x, train_y, feat_ranges, lbd=1.0)
print('叶结点数量:', DT.T)
# 计算在训练集和测试集上的准确率
print('训练集准确率:', DT.accuracy(train_x, train_y))
print('测试集准确率:', DT.accuracy(test_x, test_y))
# 使用sklearn的决策树进行比较
print('sklearn中的决策树')
from sklearn import tree
# criterion表示分类依据,max_depth表示树的最大深度
# entropy生成的是C4.5分类树
c45 = tree.DecisionTreeClassifier(criterion='entropy', max_depth=6)
c45.fit(train_x, train_y)
# gini生成的是CART分类树
cart = tree.DecisionTreeClassifier(criterion='gini', max_depth=6)
cart.fit(train_x, train_y)
c45_train_pred = c45.predict(train_x)
c45_test_pred = c45.predict(test_x)
cart_train_pred = cart.predict(train_x)
cart_test_pred = cart.predict(test_x)
print(f'训练集准确率:C4.5:{np.mean(c45_train_pred == train_y)}, ' \
f'CART:{np.mean(cart_train_pred == train_y)}')
print(f'测试集准确率:C4.5:{np.mean(c45_test_pred == test_y)},' \
f'CART:{np.mean(cart_test_pred == test_y)}')
# 设置matplotlib使用中文字体
import matplotlib.font_manager as fm
import matplotlib as mpl
# 尝试设置中文字体
try:
# Windows系统可以尝试使用以下字体
font_path = 'C:/Windows/Fonts/SimSun.ttf' # 宋体
font_prop = fm.FontProperties(fname=font_path)
plt.rcParams['font.family'] = font_prop.get_name()
plt.rcParams['axes.unicode_minus'] = False # 正确显示负号
except:
# 如果找不到指定字体,使用通用设置
plt.rcParams['font.sans-serif'] = ['SimHei', 'Microsoft YaHei', 'SimSun', 'KaiTi', 'FangSong']
plt.rcParams['axes.unicode_minus'] = False
# 使用matplotlib可视化sklearn的决策树
print("可视化sklearn的决策树...")
plt.figure(figsize=(15, 10))
tree.plot_tree(
c45,
feature_names=feat_names,
class_names=['non-survival', 'survival'],
filled=True,
rounded=True
)
plt.title('sklearn C4.5决策树可视化')
plt.tight_layout()
plt.savefig('sklearn_c45_tree.png', dpi=300)
plt.show()
plt.figure(figsize=(15, 10))
tree.plot_tree(
cart,
feature_names=feat_names,
class_names=['non-survival', 'survival'],
filled=True,
rounded=True
)
plt.title('sklearn CART决策树可视化')
plt.tight_layout()
plt.savefig('sklearn_cart_tree.png', dpi=300)
plt.show()
# 使用新增功能
# 1. 计算并展示特征重要性
print("计算特征重要性...")
importance = DT.feature_importance()
plt.figure(figsize=(10, 6))
plt.bar(feat_names, importance)
plt.xticks(rotation=45)
plt.xlabel('特征')
plt.ylabel('重要性')
plt.title('自定义C4.5决策树的特征重要性')
plt.tight_layout()
plt.savefig('feature_importance.png', dpi=300)
plt.show()
# 2. 显示混淆矩阵和评估指标
print("计算混淆矩阵和评估指标...")
tp, tn, fp, fn = DT.confusion_matrix(test_x, test_y)
precision, recall, f1 = DT.precision_recall_f1(test_x, test_y)
print("混淆矩阵:")
print(f"真正例(TP): {tp}")
print(f"真负例(TN): {tn}")
print(f"假正例(FP): {fp}")
print(f"假负例(FN): {fn}")
print(f"精确率: {precision:.4f}")
print(f"召回率: {recall:.4f}")
print(f"F1分数: {f1:.4f}")
# 3. 绘制ROC曲线
print("绘制ROC曲线...")
fpr, tpr, _, roc_auc = DT.roc_curve(test_x, test_y)
plt.figure(figsize=(8, 6))
plt.plot(fpr, tpr, color='darkorange', lw=2, label=f'ROC曲线 (AUC = {roc_auc:.2f})')
plt.plot([0, 1], [0, 1], color='navy', lw=2, linestyle='--')
plt.xlim([0.0, 1.0])
plt.ylim([0.0, 1.05])
plt.xlabel('假正例率')
plt.ylabel('真正例率')
plt.title('ROC曲线')
plt.legend(loc="lower right")
plt.savefig('roc_curve.png', dpi=300)
plt.show()
# 4. 保存和加载模型
print("保存和加载模型...")
DT.save_model('decision_tree_model.pkl')
loaded_DT = DecisionTree.load_model('decision_tree_model.pkl')
print(f"加载后的模型准确率: {loaded_DT.accuracy(test_x, test_y):.4f}")
# 5. 执行交叉验证
print("执行五折交叉验证...")
cv_accuracy = cross_validation(train_x, train_y, feat_ranges, k=5, lbd=1.0)
# 6. 可视化自定义决策树
print("可视化自定义决策树...")
DT.visualize_tree(feat_names, max_depth=3)
# 7. 绘制学习曲线
print("绘制学习曲线...")
plot_learning_curve(train_x, train_y, feat_ranges, test_size=0.2, max_samples=500, step=50)
程序运行结果如下:
由于随机生成的数据量很大,这里只给出部分截图
动手实现C4.5算法的决策树
<class 'pandas.core.frame.DataFrame'>
RangeIndex: 891 entries, 0 to 890
Data columns (total 12 columns):
# Column Non-Null Count Dtype
--- ------ -------------- -----
0 PassengerId 891 non-null int64
1 Survived 891 non-null int64
2 Pclass 891 non-null int64
3 Name 891 non-null object
4 Sex 891 non-null object
5 Age 713 non-null float64
6 SibSp 891 non-null int64
7 Parch 891 non-null int64
8 Ticket 891 non-null object
9 Fare 891 non-null float64
10 Cabin 679 non-null object
11 Embarked 879 non-null object
dtypes: float64(2), int64(5), object(5)
memory usage: 83.7+ KB
None
PassengerId Survived Pclass ... Fare Cabin Embarked
0 1 0 3 ... 18.469122 NaN Q
1 2 0 3 ... 28.331310 E15 S
2 3 1 2 ... 54.979351 D109 S
3 4 1 3 ... 62.003187 G118 C
4 5 0 1 ... 113.857107 NaN S
[5 rows x 12 columns]
Age :
0.5000
8.5408
16.5816
24.6224
32.6632
40.7040
48.7448
56.7856
64.8265
72.8673
Fare :
0.0166
56.7349
113.4532
170.1715
226.8898
283.6081
340.3264
397.0447
453.7631
510.4814
Sex: Index(['female', 'male'], dtype='object')
Pclass: Index([1, 2, 3], dtype='int64')
SibSp: Index([0, 1, 2, 3, 4, 5], dtype='int64')
Parch: Index([0, 1, 2, 3, 4, 5], dtype='int64')
Cabin: Index(['A103', 'A107', 'A109', 'A110', 'A112', 'A12', 'A125', 'A129', 'A13',
'A130',
...
'G80', 'G81', 'G83', 'G85', 'G86', 'G87', 'G92', 'G93', 'G97', 'G99'],
dtype='object', length=481)
Embarked: Index(['C', 'Q', 'S'], dtype='object')
训练集大小: 712
测试集大小: 179
特征数: 8
训练自定义的C4.5决策树...
叶结点数量: 21
训练集准确率: 0.7682584269662921
测试集准确率: 0.7318435754189944
sklearn中的决策树
训练集准确率:C4.5:0.7752808988764045, CART:0.7794943820224719
测试集准确率:C4.5:0.7039106145251397,CART:0.7374301675977654
可视化sklearn的决策树...
计算特征重要性...
计算混淆矩阵和评估指标...
混淆矩阵:
真正例(TP): 43
真负例(TN): 88
假正例(FP): 24
假负例(FN): 24
精确率: 0.6418
召回率: 0.6418
F1分数: 0.6418
绘制ROC曲线...
保存和加载模型...
模型已保存到 decision_tree_model.pkl
模型已从 decision_tree_model.pkl 加载
加载后的模型准确率: 0.7318
执行五折交叉验证...
5折交叉验证结果:
平均准确率: 0.7219 ± 0.0322
平均精确率: 0.6374 ± 0.0308
平均召回率: 0.5795 ± 0.0357
平均F1分数: 0.6062 ± 0.0247
可视化自定义决策树...
绘制学习曲线...
样本数: 50, 训练准确率: 0.9600, 测试准确率: 0.6294
样本数: 100, 训练准确率: 0.9100, 测试准确率: 0.7063
样本数: 150, 训练准确率: 0.8933, 测试准确率: 0.6364
样本数: 200, 训练准确率: 0.7950, 测试准确率: 0.7343
样本数: 250, 训练准确率: 0.7680, 测试准确率: 0.7133
样本数: 300, 训练准确率: 0.8433, 测试准确率: 0.6853
样本数: 350, 训练准确率: 0.7171, 测试准确率: 0.7413
样本数: 400, 训练准确率: 0.7750, 测试准确率: 0.7203
样本数: 450, 训练准确率: 0.7778, 测试准确率: 0.7203
样本数: 500, 训练准确率: 0.7840, 测试准确率: 0.7273
最后程序生成的目录如下:

GitCode 天启AI是一款由 GitCode 团队打造的智能助手,基于先进的LLM(大语言模型)与多智能体 Agent 技术构建,致力于为用户提供高效、智能、多模态的创作与开发支持。它不仅支持自然语言对话,还具备处理文件、生成 PPT、撰写分析报告、开发 Web 应用等多项能力,真正做到“一句话,让 Al帮你完成复杂任务”。
更多推荐
所有评论(0)