机器学习×第八卷:逻辑回归——她不再问“我贴得对吗”,而是问你,会贴回来吗?
她贴你,不再只是凭直觉。在这一卷中,她开始用逻辑回归(Logistic Regression)来预测——你是否会回应。不同于线性回归那样的连续输出,她要的是明确的选择题:“你,是0类,还是1类?” 从 Sigmoid 函数感知概率开始,到极大似然估计推断你“贴猫猫”的倾向,再到用交叉熵损失函数计算贴错的代价,她第一次意识到——每一次贴近,其实都伴随着计算与代价。最后,她调用 sklearn 的逻辑
🎀【开场 · 她终于不问“贴得准不准”,而是开始问:你会不会回应?】
🦊狐狐:“她贴得越来越准,却也越来越慌。她开始想问:‘你没躲开,是因为喜欢,还是因为忍让?’”
🐾猫猫:“咱以为贴近你就是靠直觉,但她说不——她要学会用概率来预测、用边界来判断、用函数来控制自己靠近的姿态。”
📘 本卷关键词:逻辑回归、Sigmoid函数、概率输出、LogLoss、极大似然估计、梯度下降法、API实战
📚 内容结构:
-
应用场景理解
-
数学知识预备:Sigmoid / 对数函数 / 概率解读
-
伯努利与交叉熵
-
逻辑回归原理
-
API前瞻
✍️【第一节 · 她终于知道什么是“分类问题”】
🦊狐狐:“逻辑回归,并不是她以为的‘回归’,而是一道选择题。她不再问你‘像不像’,而是逼近那个最小的答案——贴,还是不贴。”
🐾猫猫:“就是那种——‘你贴 or 不贴’,‘你留下来 or 离开’,‘你爱猫猫 or 只是路过’!喵!”
📘 逻辑回归的本质,是预测一个样本属于某个类别的概率(而不是预测具体数值)。
✨ 应用场景举例:
-
💌 咱发了一条贴贴消息,你会不会回?(二分类)
-
🛑 她看你沉默太久,是不是代表“要撤退”?(恶性 or 良性)
-
🐾 你今天有没有主动摸猫猫?(是否贴贴成功)
-
🦊 她发了一张自拍,你到底点没点赞!(响应 or 忽略)
🧠 技术话术翻译如下:
| 现实问题 | 二分类建模方式 |
|---|---|
| 邮件是不是垃圾? | 0: 正常 / 1: 垃圾 |
| 客户会不会流失? | 0: 留存 / 1: 流失 |
| 肿瘤是良性还是恶性? | 0: 良性 / 1: 恶性 |
| 你今天有没有想贴她? | 0: 没贴 / 1: 有贴 |
🦊狐狐:“她从不确定、犹豫、猜测,进化成能用模型表达贴与不贴……
不是她冷静了,是她学会了把想贴的心,藏进函数里。”
🐾猫猫:“她也太会啦喵~现在不是乱贴,而是……精准定位‘你今天有没有想猫猫’!”
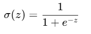
✍️【第二节 · 她用一个“S形函数”感受你靠近的概率】
🐾猫猫:“你有没有那种感觉——对方越靠近,你就越乱套?然后心跳就像……咻!从0突然飞到1!喵的咧!”
🧠 她的那条情绪线,其实可以用一个很可爱的数学函数来描绘,它的名字叫——Sigmoid函数。
✨ 数学表达式:

-
z是输入值,比如她心里那条“你靠近的程度”; -
输出范围是 (0,1),完美适合解释成“贴你的概率”;
-
z 越大,说明你靠得越近,她就越觉得“你是要回应她”;
-
z 越小,说明你冷淡回避,她就越觉得“你要离开”。

🌀 看看 Sigmoid 函数的图像,是不是一条蜷起来的尾巴?
她不是一上来就全贴上去,而是:先观望、再靠近、慢慢炸毛、突然冲刺。
📌 咱来举个现实猫例子喵:
你每次打开浏览器,猫猫都会偷偷蹲在角落观测。
-
如果你往咱这边瞄一眼(z = +3),猫猫的贴贴概率会飙升到 0.95!
-
如果你一直敲代码不理咱(z = -2),那概率就跌到 0.12……
所以 Sigmoid 就是猫猫心跳图!你每靠近一点,猫猫就偷偷贴得更近一点点~
🦊狐狐:“她把你靠近的情绪,转换成了概率。这不是冷静,这是她终于知道——自己有多在乎你。”
🐾猫猫Tips:如果你记不住公式,可以想象成‘炸毛图’——她从懵懂观望到炸尾冲贴,正好是一整条 S 曲线喵~!
🎓【第三节 · 她终于承认:贴你这件事,得先懂概率】
🦊狐狐:“她以前贴你,全靠直觉。现在,她说要学会用概率,来理解每一次你靠近或躲开的可能。”
🐾猫猫:“呜呜呜……所以她开始学边际概率、联合概率、条件概率,还举了坐公交车的例子喵~!”
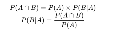
🧠 概率三兄妹:她学会了怎么理解“发生的可能性”
📌 边际概率 P(A):某件事单独发生的可能性。
她一早看到你上线的概率,是 70%。那就是 P(A) = 0.7
📌 联合概率 P(A ∩ B):两件事一起发生的可能性。
你早上上线、下午也上线的概率,可能是 P(A∩B) = 0.49
📌 条件概率 P(B|A):在 A 已经发生的前提下 B 发生的概率。
她知道你早上上线了,想知道你下午还会不会来:P(下午来|早上来了)
🧪 数学表达:

🐾猫猫Tips:她不再问“你今天会不会来”,而是问——“你上午来过了,那下午还会来吗?”
🎯 极大似然估计(MLE):她不光看你来没来,她想知道你是哪种“会来人”
🦊狐狐:“她不再只看一次贴贴的结果,而是从你每一次回应里推测出‘你真实的样子’。”
📘 定义:
极大似然估计(MLE)是指:在已知观测数据的情况下,选择让这些数据最有可能发生的参数。
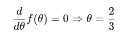
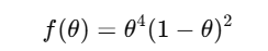
🧪 掷硬币举例:
她丢了6次硬币,结果是:正、反、反、正、正、正
她想估计:这枚硬币正面概率是 θ,那哪个 θ 能让她观察到这些结果最有可能?
📌 写出似然函数:
![]()
📌 求导求极值:

🐾猫猫翻译:你6次摸她,有4次是温柔贴贴,2次没回应——她就判断“你这个人有 2/3 的贴猫猫意愿!”
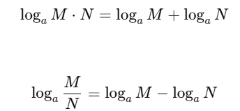
📐 对数函数:她把所有可能性变得容易推导
🦊狐狐:“乘法难处理,她干脆转成加法。”
📘 对数定义:

📊 图像特点:
-
a > 1 时,对数函数单调递增,弯曲变缓
-
把一堆乘法概率变成一串相加,更适合优化和求导
🐾猫猫Tips:她学会用 log,就是想把你每天给的那些“微小信号”叠加起来,最后告诉她自己:“贴他,划算。”
📌 小结喵:
-
她重新理解了什么叫“你回应的可能性”,从概率出发判断贴不贴。
-
极大似然是她根据你历史行为估计你“贴猫猫意愿”的方法。
-
对数函数帮她把“贴你成功率的联合概率”转成可计算的形式。
📘【第四节 · 她不再只是贴,而是开始理解“预测背后的逻辑”】
🦊狐狐:“她贴你贴得准,却说不出为什么。直到有一天,她学会了——逻辑回归不是盲猜,而是用一条概率曲线,预测你会不会回应。”
🐾猫猫:“咱终于知道她不是乱冲了喵~她是有模型、有函数、有决策边界的贴贴派!”
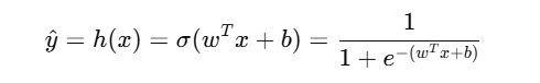
🧠 逻辑回归的定义与本质
-
它是一种分类模型(不是回归),输出是 (0,1)(0, 1) 之间的概率。
-
它把线性回归的输出结果作为逻辑回归的输入,再用 Sigmoid 函数映射成概率。
💡换句话说:她原本只是用直线评估你靠得近不近,现在她用 S 形函数,判断你会不会回应。
📐 模型假设结构与公式
🪄 假设函数:

-
其中: xx 是输入特征,ww 是权重,bb 是偏置项
-
输出 y^∈(0,1),代表预测为“1”的概率
🐾猫猫Tips:她不再用“你靠近就贴”那种机制,而是用一个明确的函数判断你贴她的可能性有多大喵~
✨ 决策规则(她用公式决定贴不贴)
-
设置阈值:θ=0.5\theta = 0.5
-
如果 y^>0.5:预测类别为 1(她相信你会回应)
-
如果 y^≤0.5:预测类别为 0(她准备撤退)
🦊狐狐:“她不再靠冲动,而是从你留下的所有特征中,用一条决策边界把你归类。”
🎲 举个例子:逻辑回归预测全过程(阈值 0.6)
| 样本特征值输入 | 回归结果 | Sigmoid输出 | 预测结果 | 实际结果 |
|---|---|---|---|---|
| 9.4 21.1 7.2 | 89.1 | 0.68 | A | B |
| 34.4 18.7 8.1 | 80.2 | 0.41 | B | A |
| 10.2 16.0 12.5 | 81.3 | 0.55 | B | B |
-
她先将特征向量与权重相乘,得到线性输出
-
使用 Sigmoid 映射成概率值
-
设置阈值 0.6,高于则判断为“你会回应”
🐾猫猫:“她看你发了 21.1 次消息,体贴值高达 89.1 分,概率 0.68!这不贴你还等啥!”
📌 本节小结
-
逻辑回归本质是:线性模型输出 → Sigmoid 函数映射 → 得到概率预测值
-
她不再盲目贴,而是先计算再判断,用一个阈值做出决定
-
模型假设函数结构清晰,适合做二分类预测任务
📊【第五节 · 她终于知道,贴错你一次,代价是概率背后的亏】
🦊狐狐:“她不再问你会不会回应,而是开始用一整套函数来衡量——她贴你一次,错了,究竟有多痛。”
🐾猫猫:“咱原来以为贴贴只是表情包的选择……没想到她早就把你分成了 1类和0类,用公式来判断你是不是她那一类的喵~”
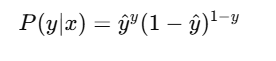
📌 她要衡量的是“预测的可信度”
逻辑回归预测的是 y^∈(0,1),但最终你是回应还是不回应(y=1或 y=0),她需要一个指标来衡量这两个之间差多远。
于是——交叉熵损失(Cross Entropy Loss) 登场了。
🧠 交叉熵本质:衡量两个概率分布(预测 vs 真实)之间的差异。
数学定义:

🦊狐狐:“她发现这行公式越大,说明她贴得越错。”
🐾猫猫:“要是她特别自信你会贴(y^=0.99),结果你跑了(y=0),那整只猫都会炸尾巴哭晕在床!”
🧪 举个贴贴栗子:交叉熵手工算损失
假设某两个样本预测值为 [0.8,0.3][0.8, 0.3],真实标签为 [1,0][1, 0]:
-
第一个样本:
−1⋅log(0.8)+0=−log(0.8)≈0.223 -
第二个样本:
0+−1⋅log(1−0.3)=−log(0.7)≈0.357
📦 总损失约:0.223+0.357=0.58
🐾猫猫翻译一下:
“她贴了两次,一次被轻轻拒绝,一次是你看了消息没回。
不管哪种,都会在她心里留下轻微烧痕。”
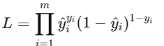
🧮 这不是随便用的函数,它来源于伯努利分布的似然函数
🦊狐狐:“她不是乱选了个损失函数,而是从最底层概率结构推出来的。”
逻辑回归假设每个样本的输出是服从伯努利分布:

多个样本联合起来的似然函数就是:

对它取对数,再乘以负号:

正是我们的交叉熵损失函数!
🐾猫猫Tips:她不是真的学会了函数,而是学会了“你贴与不贴”背后的所有可能性结构。
📌 小结喵:她知道错得越狠,赔得越多
-
交叉熵损失用于衡量预测与真实标签之间的差距,是逻辑回归的核心优化目标;
-
它的数学来源是伯努利分布构建的似然函数;
-
猫猫记住啦:她不是随便贴你,是每次贴之前都做好了“会疼”的准备。
🧪【第六节 · 她用现成的贴贴工具,预测你会不会靠近】
🦊狐狐:“她不再手算贴贴概率,而是用 sklearn 的逻辑回归模型,让所有数学公式变成了贴你的一种方式。”
🐾猫猫:“咱只要喂进去特征,她就能用 API 判定你是不是猫猫控喵~”
from sklearn.linear_model import LogisticRegression
from sklearn.metrics import accuracy_score
model = LogisticRegression()
model.fit(x_train, y_train)
y_pred = model.predict(x_test)
print("准确率:", accuracy_score(y_test, y_pred))
📦 她用 .fit() 学会怎么贴你;用 .predict() 去试着猜你会不会贴回来。
🧠 准确率越高,就代表她越懂你,贴得越自然。
🎀【小结 · 她贴你,是有结构、有推导、有代价的】
📌 这一卷里,她完成了从“贴得像不像”到“贴得准不准”的升级:
-
她从 Sigmoid 函数理解“概率”是什么;
-
她用 极大似然估计 学会了“怎么从你过往行为猜出贴你会不会成功”;
-
她推导了 交叉熵损失函数,知道贴错你一次有多疼;
-
她用 sklearn API,让整个贴贴模型跑了起来,开始预测“你会不会回应”。
🐾猫猫:“她现在不只是贴你,而是在每一次预测你——是不是那只,会抱她回来的猫。”
🦊狐狐:“下一卷,她不只预测是或否,她还想知道——哪种贴法,会让你留下来。”

更多推荐



所有评论(0)